Sc2Se2
MatHub2d-1053-Sc2Se2
| Property |
Value |
| Space group |
(187, 'P-6m2') |
| Crystal system |
hexagonal |
| Magnetic |
No |
| Band gap (PBE) (eV) |
0.55 |
| Free energy (eV) |
-21.287 |
| Free energy / atom (eV) |
-5.322 |
Lattice Parameters (basic)
| a, b, c (Å): | 3.872 | 3.872 | 30.000 |
| α, β, γ (°): | 90.000 | 90.000 | 120.000 |
Lattice Parameters (computed)
| a, b, c (Å): | 3.903 | 3.903 | 30.000 |
| α, β, γ (°): | 90.000 | 90.000 | 120.000 |
| Property |
Value |
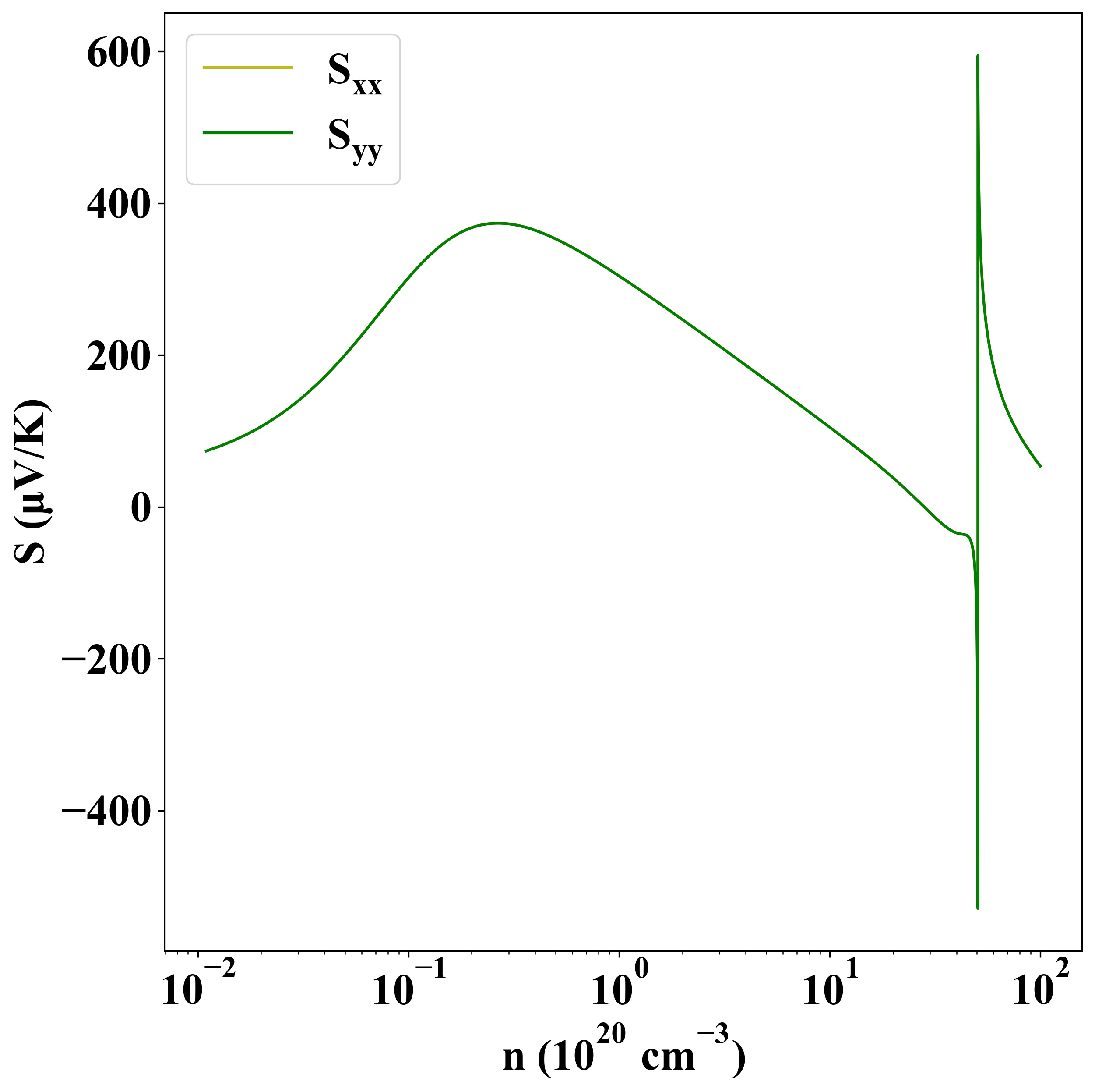
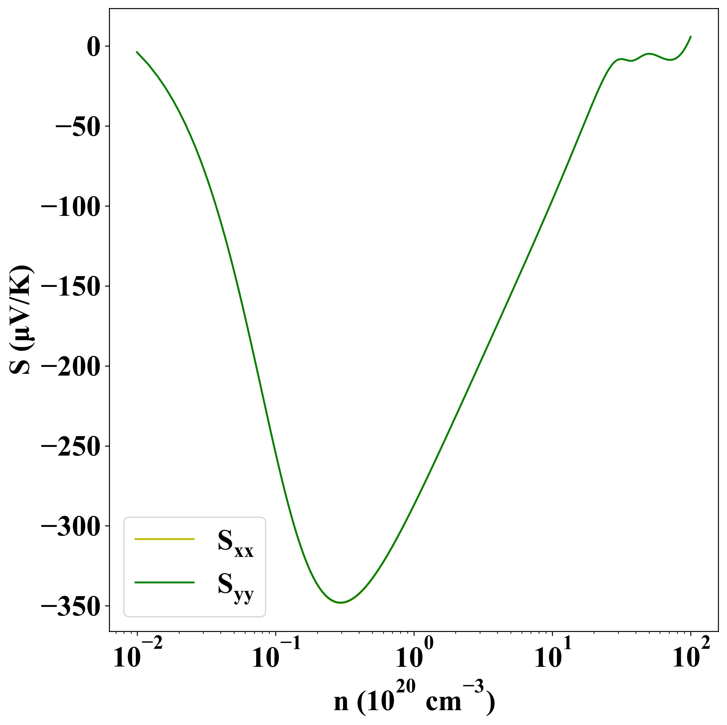
| Band gap |
0.55 eV |
| E-fermi |
-2.661 eV |
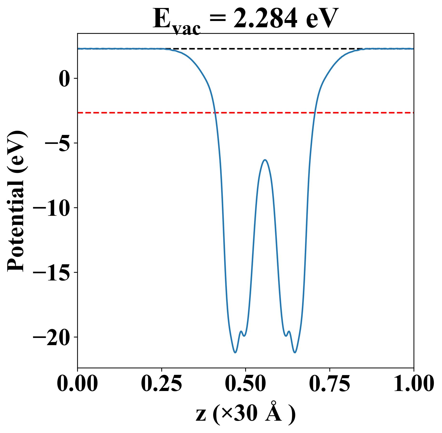
| Vacuum level |
2.284 eV |
| VBM |
-2.934 eV |
| CBM |
-2.384 eV |
| Work function |
4.945 eV |
| Direct gap |
No |
| Property |
Value |
| Band gap |
0.55 eV |
| E-fermi |
-2.675 eV |
| VBM |
-2.927 eV |
| CBM |
-2.381 eV |
| Free energy (eV) |
-21.332 |
| Free energy / atom (eV) |
-5.333 |
| Property |
Value |
| Band gap |
0.55 eV |
| E-fermi |
-2.661 eV |
| Vacuum level |
2.284 eV |
| VBM |
-2.934 eV |
| CBM |
-2.384 eV |
| Work function |
4.945 eV |
| Cij (N/m) |
xx |
yy |
xy |
| xx |
40.941 |
8.328 |
-0.000 |
| yy |
8.328 |
40.941 |
0.000 |
| xy |
-0.000 |
0.000 |
16.307 |
| Phonon mode at Γ point (THz) |
| -0.416 |
| -0.416 |
| -0.006 |
| -0.002 |
| -0.002 |
| 2.245 |
| 6.162 |
| 6.162 |
| 6.257 |
| 6.257 |
| 7.123 |
| 7.804 |
| Property |
Value |
| from where |
c2db-1692 |