Sc1Te2
MatHub2d-1052-Sc1Te2
| Property |
Value |
| Space group |
(187, 'P-6m2') |
| Crystal system |
hexagonal |
| Magnetic |
No |
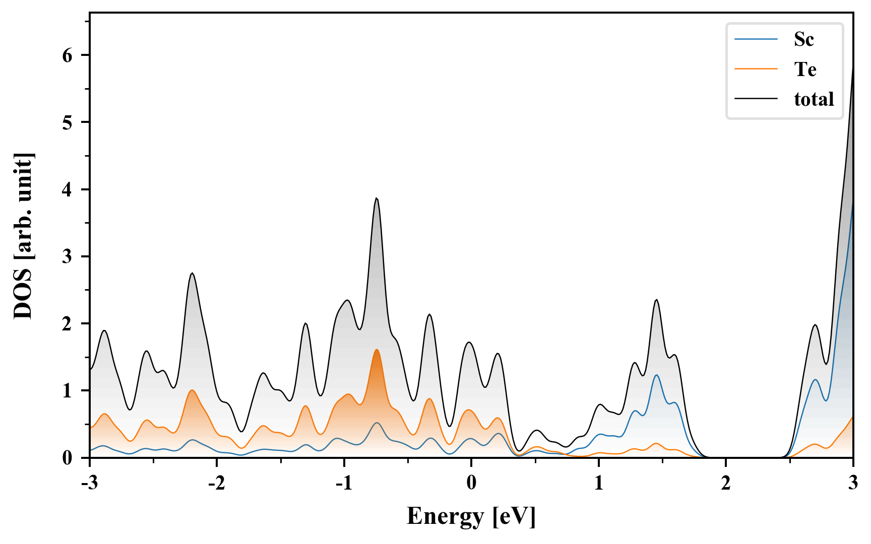
| Band gap (PBE) (eV) |
0.00 |
| Free energy (eV) |
-13.547 |
| Free energy / atom (eV) |
-4.516 |
Lattice Parameters (basic)
| a, b, c (Å): | 3.742 | 3.742 | 30.000 |
| α, β, γ (°): | 90.000 | 90.000 | 120.000 |
Lattice Parameters (computed)
| a, b, c (Å): | 3.810 | 3.810 | 30.000 |
| α, β, γ (°): | 90.000 | 90.000 | 120.000 |
| Property |
Value |
| Band gap |
0.00 eV |
| E-fermi |
-2.716 eV |
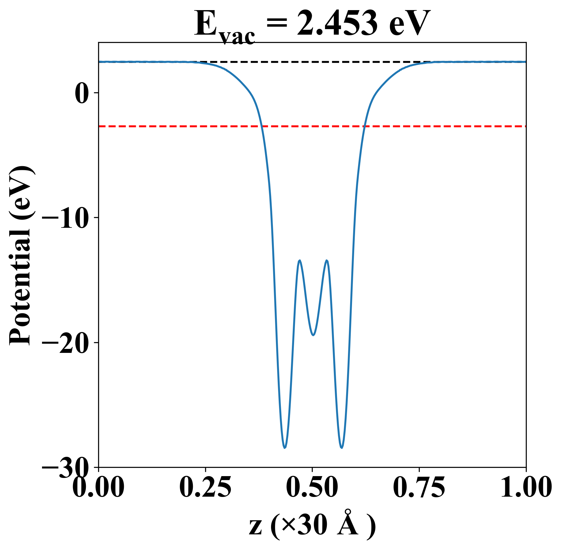
| Vacuum level |
2.453 eV |
| VBM |
-2.717 eV |
| CBM |
-2.716 eV |
| Work function |
5.170 eV |
| Direct gap |
No |
| Property |
Value |
| Band gap |
0.00 eV |
| E-fermi |
-2.716 eV |
| Vacuum level |
2.453 eV |
| VBM |
-2.717 eV |
| CBM |
-2.716 eV |
| Work function |
5.170 eV |
| Cij (N/m) |
xx |
yy |
xy |
| xx |
13.572 |
44.612 |
-0.000 |
| yy |
44.612 |
13.572 |
0.000 |
| xy |
-0.000 |
0.000 |
-15.520 |
| Phonon mode at Γ point (THz) |
| -0.001 |
| -0.001 |
| -0.001 |
| 1.198 |
| 1.198 |
| 3.511 |
| 3.511 |
| 3.699 |
| 4.502 |
| Property |
Value |
| from where |
c2db-623 |