Sc1Te2
MatHub2d-1051-Sc1Te2
| Property |
Value |
| Space group |
(164, 'P-3m1') |
| Crystal system |
hexagonal |
| Magnetic |
No |
| Band gap (PBE) (eV) |
0.01 |
| Free energy (eV) |
-13.955 |
| Free energy / atom (eV) |
-4.652 |
Lattice Parameters (basic)
| a, b, c (Å): | 3.816 | 3.816 | 30.000 |
| α, β, γ (°): | 90.000 | 90.000 | 120.000 |
Lattice Parameters (computed)
| a, b, c (Å): | 3.897 | 3.897 | 30.000 |
| α, β, γ (°): | 90.000 | 90.000 | 120.000 |
| Property |
Value |
| Band gap |
0.01 eV |
| E-fermi |
-3.092 eV |
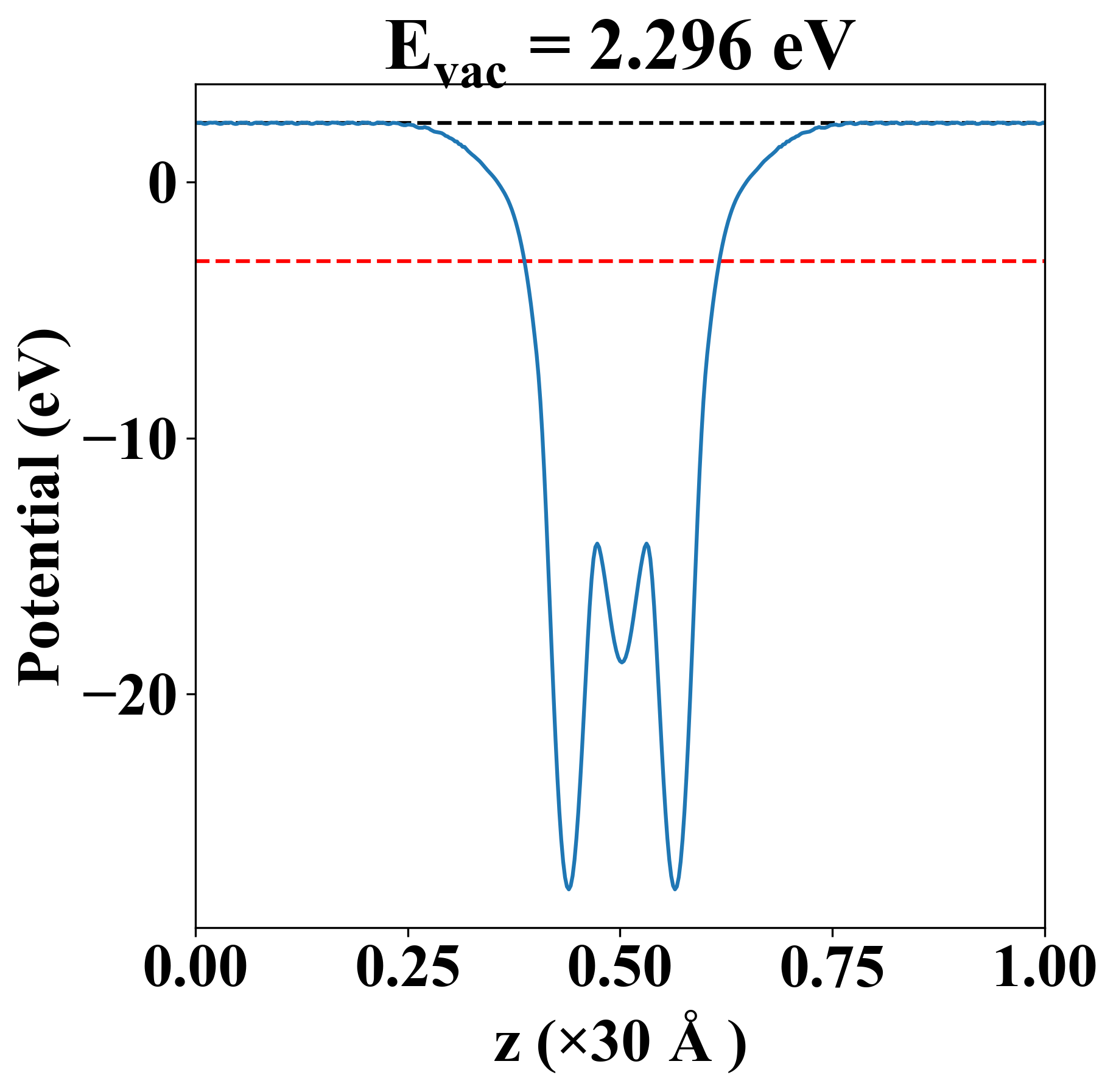
| Vacuum level |
2.296 eV |
| VBM |
-3.095 eV |
| CBM |
-3.082 eV |
| Work function |
5.389 eV |
| Direct gap |
No |
| Property |
Value |
| Band gap |
0.01 eV |
| E-fermi |
-3.092 eV |
| Vacuum level |
2.296 eV |
| VBM |
-3.095 eV |
| CBM |
-3.082 eV |
| Work function |
5.389 eV |
| Cij (N/m) |
xx |
yy |
xy |
| xx |
18.210 |
28.007 |
-0.000 |
| yy |
28.007 |
18.210 |
0.000 |
| xy |
-0.000 |
0.000 |
-4.898 |
| Phonon mode at Γ point (THz) |
| -0.006 |
| -0.006 |
| -0.006 |
| 2.079 |
| 2.079 |
| 3.351 |
| 5.188 |
| 5.188 |
| 5.273 |
| Property |
Value |
| from where |
c2db-1931 |