Sc1Se2
MatHub2d-1050-Sc1Se2
| Property |
Value |
| Space group |
(187, 'P-6m2') |
| Crystal system |
hexagonal |
| Magnetic |
Yes |
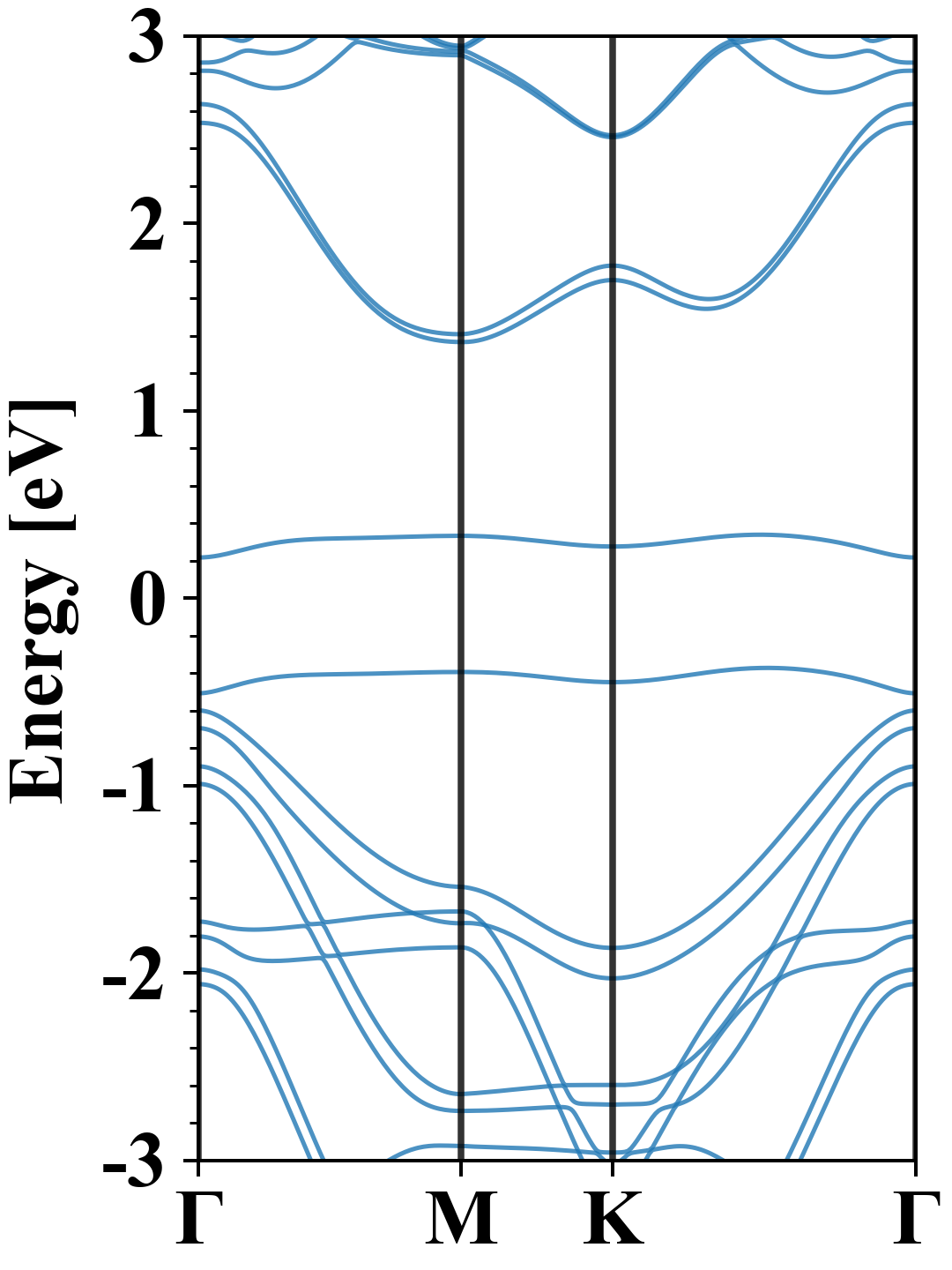
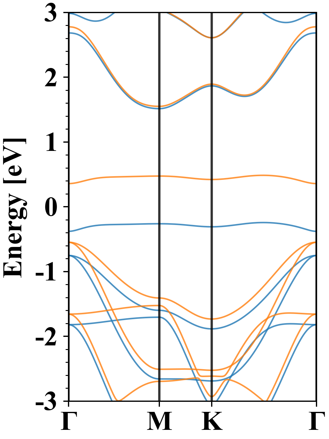
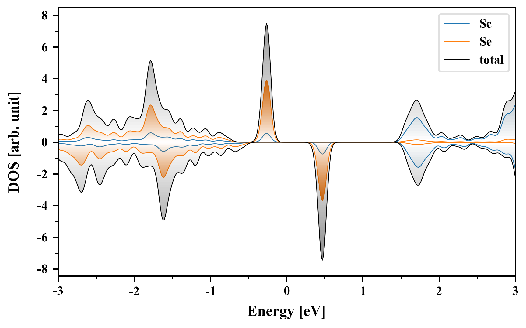
| Band gap (PBE) (eV) |
0.00 |
| Free energy (eV) |
-15.397 |
| Free energy / atom (eV) |
-5.132 |
Lattice Parameters (basic)
| a, b, c (Å): | 3.945 | 3.945 | 30.000 |
| α, β, γ (°): | 90.000 | 90.000 | 120.000 |
Lattice Parameters (computed)
| a, b, c (Å): | 4.004 | 4.004 | 30.000 |
| α, β, γ (°): | 90.000 | 90.000 | 120.000 |
| Property |
Value |
| Band gap |
0.00 eV |
| E-fermi |
-3.919 eV |
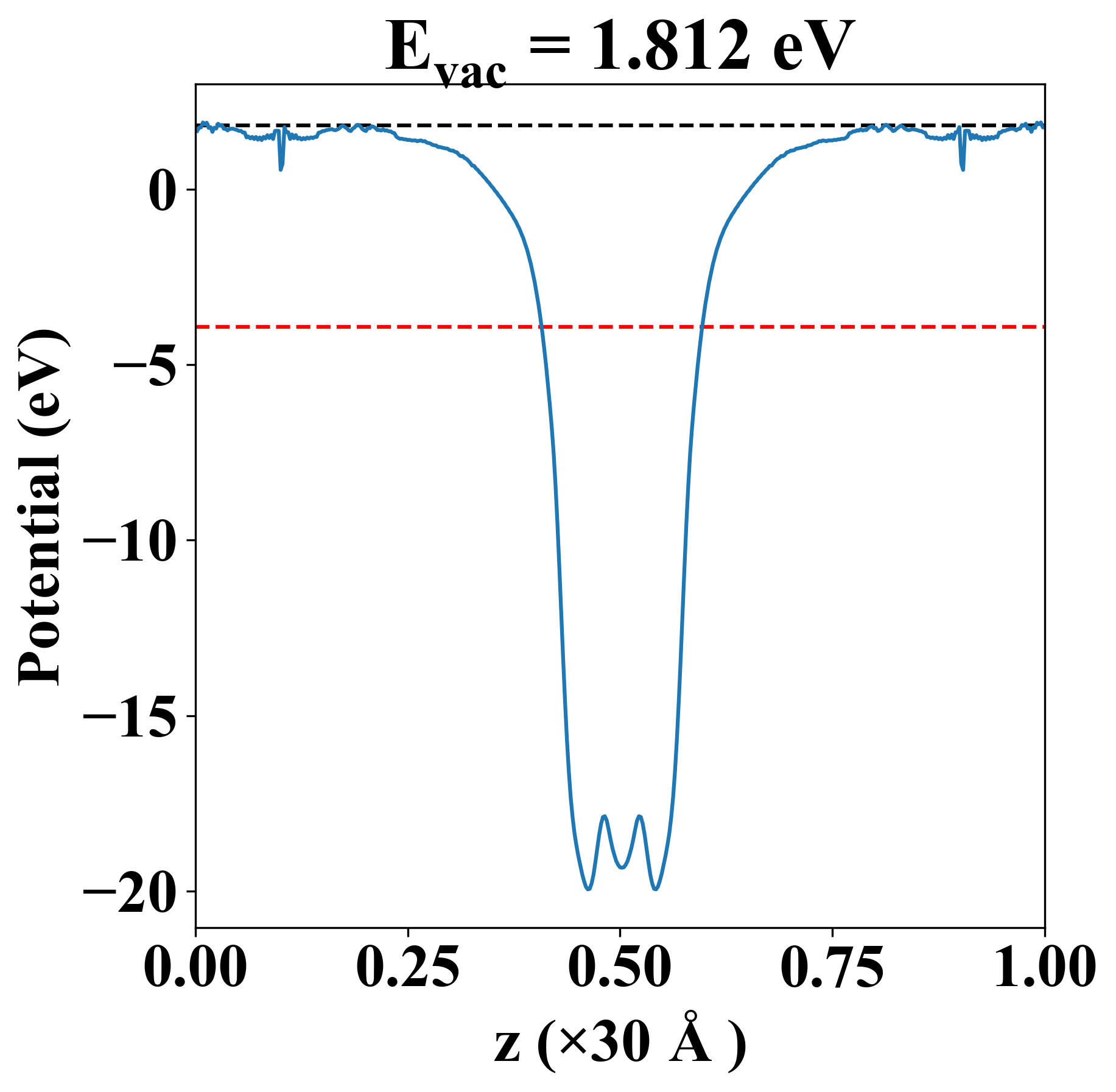
| Vacuum level |
1.812 eV |
| VBM |
-4.163 eV |
| CBM |
-3.562 eV |
| Work function |
5.731 eV |
| Direct gap |
No |
| Property |
Value |
| Band gap |
0.59 eV |
| E-fermi |
-3.790 eV |
| VBM |
-4.162 eV |
| CBM |
-3.573 eV |
| Free energy (eV) |
-15.443 |
| Free energy / atom (eV) |
-5.148 |
| Property |
Value |
| Band gap |
0.00 eV |
| E-fermi |
-3.919 eV |
| Vacuum level |
1.812 eV |
| VBM |
-4.163 eV |
| CBM |
-3.562 eV |
| Work function |
5.731 eV |
| Cij (N/m) |
xx |
yy |
xy |
| xx |
42.834 |
20.932 |
0.000 |
| yy |
20.932 |
42.834 |
-0.000 |
| xy |
0.000 |
-0.000 |
10.951 |
| Phonon mode at Γ point (THz) |
| -0.006 |
| -0.006 |
| -0.001 |
| 2.402 |
| 2.402 |
| 5.535 |
| 6.654 |
| 6.654 |
| 7.472 |
| Property |
Value |
| from where |
c2db-621 |