Sc1Se2
MatHub2d-1049-Sc1Se2
| Property |
Value |
| Space group |
(164, 'P-3m1') |
| Crystal system |
hexagonal |
| Magnetic |
|
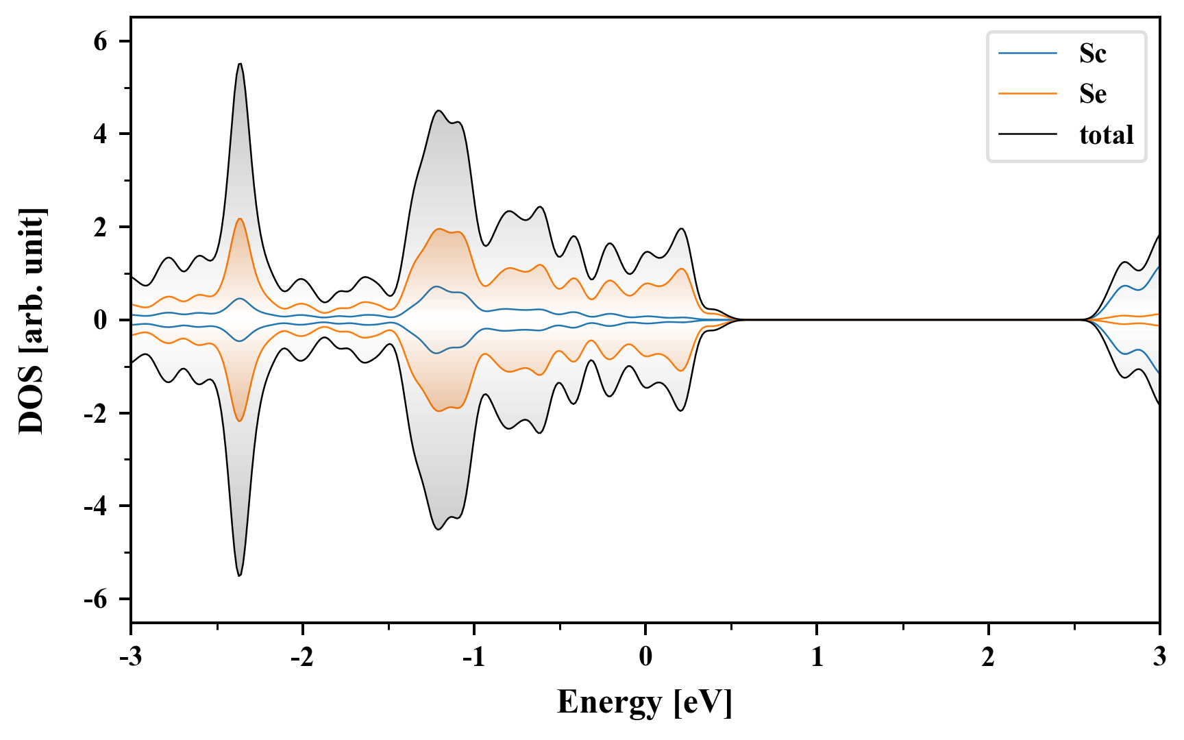
| Band gap (PBE) (eV) |
0.00 |
| Free energy (eV) |
-15.543 |
| Free energy / atom (eV) |
-5.181 |
Lattice Parameters (basic)
| a, b, c (Å): | 3.847 | 3.847 | 30.000 |
| α, β, γ (°): | 90.000 | 90.000 | 120.000 |
Lattice Parameters (computed)
| a, b, c (Å): | 3.983 | 3.983 | 30.000 |
| α, β, γ (°): | 90.000 | 90.000 | 120.000 |
| Property |
Value |
| Band gap |
0.00 eV |
| E-fermi |
-4.553 eV |
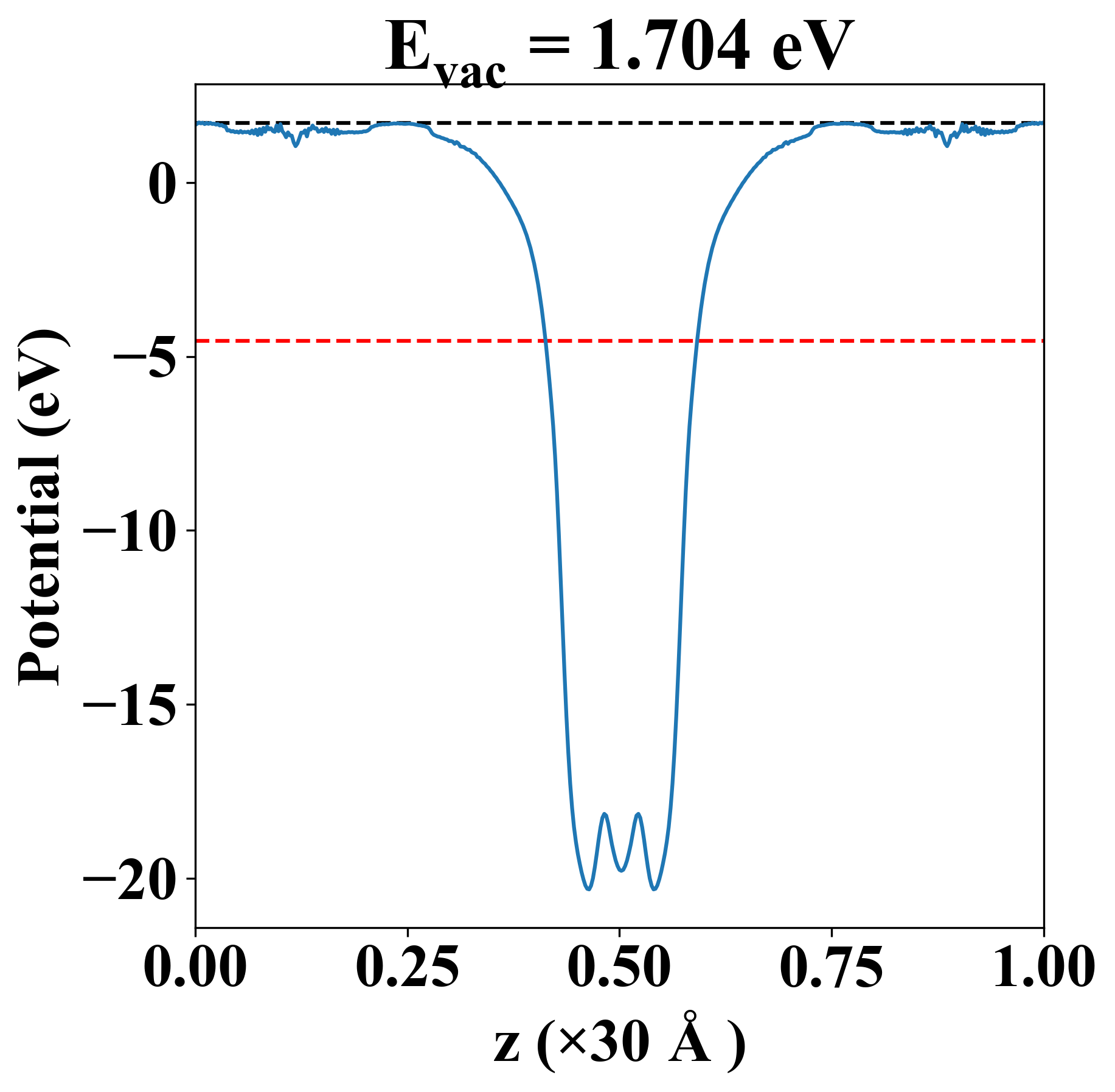
| Vacuum level |
1.704 eV |
| VBM |
-4.553 eV |
| CBM |
-4.552 eV |
| Work function |
6.257 eV |
| Direct gap |
No |
| Property |
Value |
| Band gap |
0.00 eV |
| E-fermi |
-4.553 eV |
| Vacuum level |
1.704 eV |
| VBM |
-4.553 eV |
| CBM |
-4.552 eV |
| Work function |
6.257 eV |
| Cij (N/m) |
xx |
yy |
xy |
| xx |
21.969 |
8.471 |
0.000 |
| yy |
8.471 |
21.969 |
0.000 |
| xy |
0.000 |
0.000 |
6.749 |
| Phonon mode at Γ point (THz) |
| -0.004 |
| -0.004 |
| 0.000 |
| 3.361 |
| 3.361 |
| 4.088 |
| 6.134 |
| 6.134 |
| 7.032 |
| Property |
Value |
| from where |
c2db-1930 |