Sb3Si1
MatHub2d-1047-Sb3Si1
| Property |
Value |
| Space group |
(191, 'P6/mmm') |
| Crystal system |
hexagonal |
| Magnetic |
No |
| Band gap (PBE) (eV) |
0.01 |
| Free energy (eV) |
-14.344 |
| Free energy / atom (eV) |
-3.586 |
Lattice Parameters (basic)
| a, b, c (Å): | 6.108 | 6.108 | 30.000 |
| α, β, γ (°): | 90.000 | 90.000 | 120.000 |
Lattice Parameters (computed)
| a, b, c (Å): | 6.094 | 6.094 | 30.000 |
| α, β, γ (°): | 90.000 | 90.000 | 120.000 |
| Property |
Value |
| Band gap |
0.01 eV |
| E-fermi |
-2.979 eV |
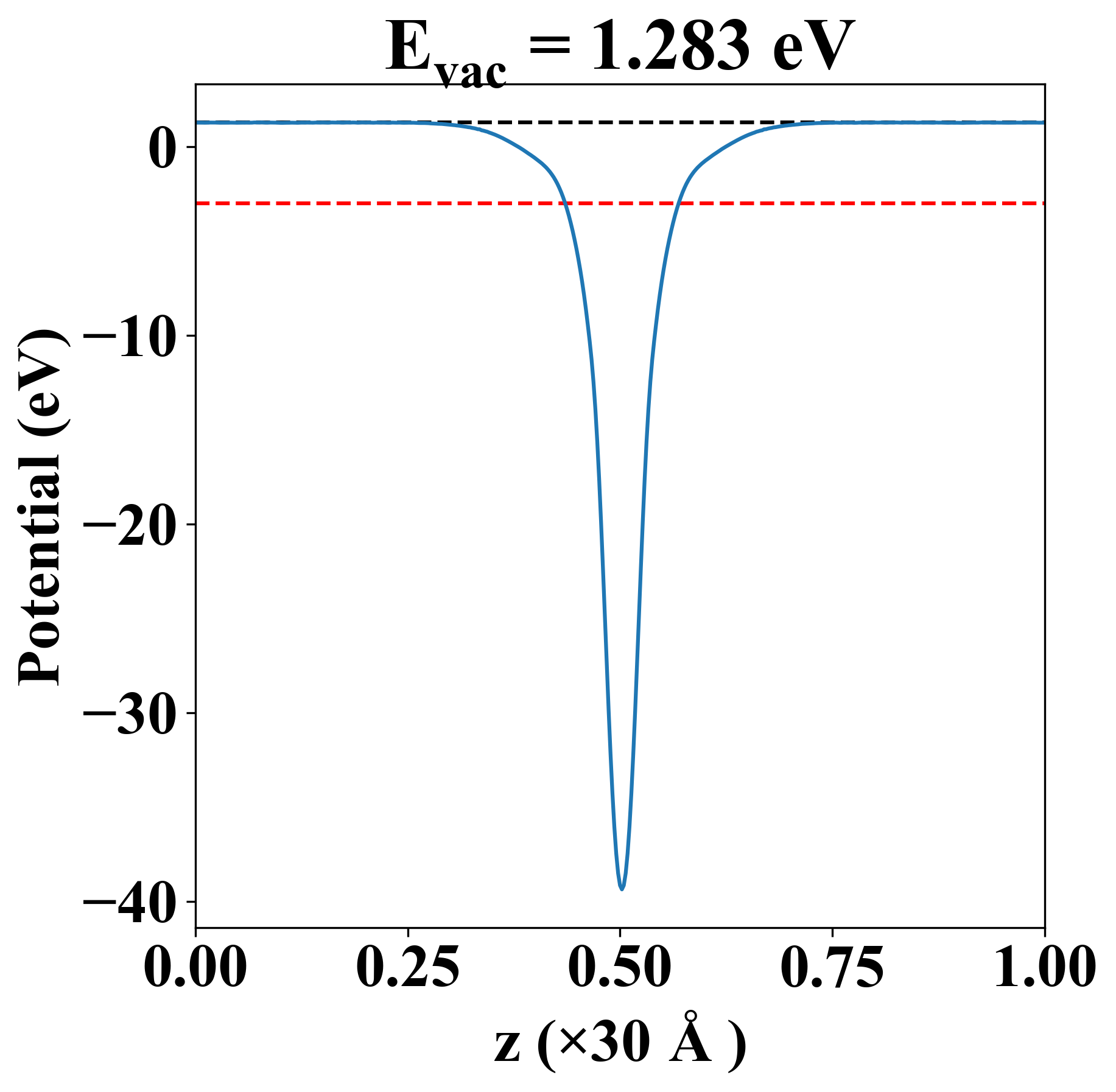
| Vacuum level |
1.283 eV |
| VBM |
-2.986 eV |
| CBM |
-2.979 eV |
| Work function |
4.262 eV |
| Direct gap |
No |
| Property |
Value |
| Band gap |
0.01 eV |
| E-fermi |
-2.979 eV |
| Vacuum level |
1.283 eV |
| VBM |
-2.986 eV |
| CBM |
-2.979 eV |
| Work function |
4.262 eV |
| Cij (N/m) |
xx |
yy |
xy |
| xx |
41.203 |
32.786 |
-0.000 |
| yy |
32.786 |
41.203 |
0.000 |
| xy |
-0.000 |
0.000 |
4.209 |
| Phonon mode at Γ point (THz) |
| -3.663 |
| -3.663 |
| -3.213 |
| -1.194 |
| -1.194 |
| -0.001 |
| -0.001 |
| 0.001 |
| 1.873 |
| 2.634 |
| 2.634 |
| 4.411 |
| Property |
Value |
| from where |
JVASP-13547 |