Sb2Te3
MatHub2d-1046-Sb2Te3
| Property |
Value |
| Space group |
(164, 'P-3m1') |
| Crystal system |
hexagonal |
| Magnetic |
No |
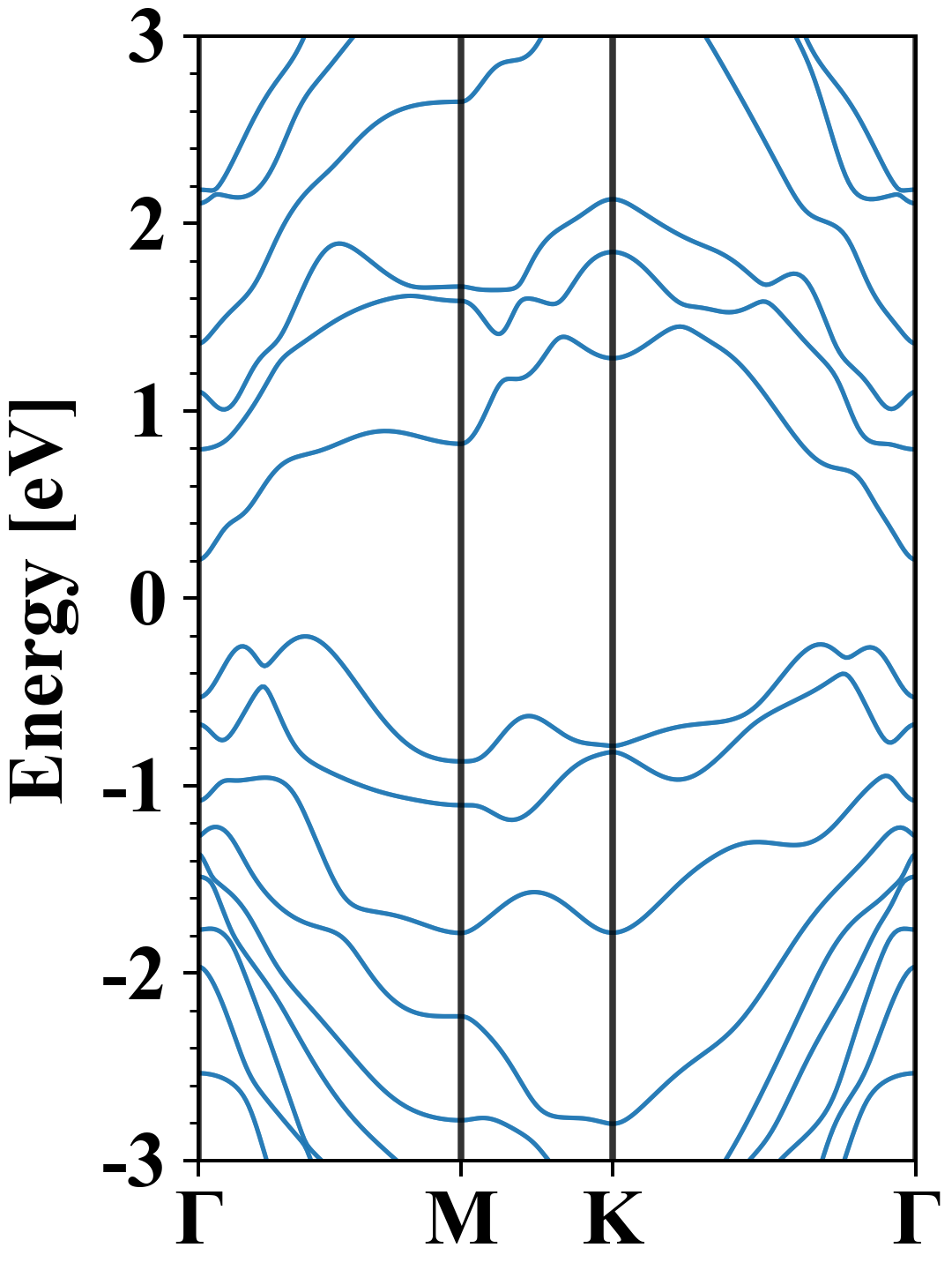
| Band gap (PBE) (eV) |
0.66 |
| Free energy (eV) |
-18.308 |
| Free energy / atom (eV) |
-3.662 |
Lattice Parameters (basic)
| a, b, c (Å): | 4.308 | 4.308 | 30.000 |
| α, β, γ (°): | 90.000 | 90.000 | 120.000 |
Lattice Parameters (computed)
| a, b, c (Å): | 4.314 | 4.314 | 30.000 |
| α, β, γ (°): | 90.000 | 90.000 | 120.000 |
| Property |
Value |
| Band gap |
0.66 eV |
| E-fermi |
-1.094 eV |
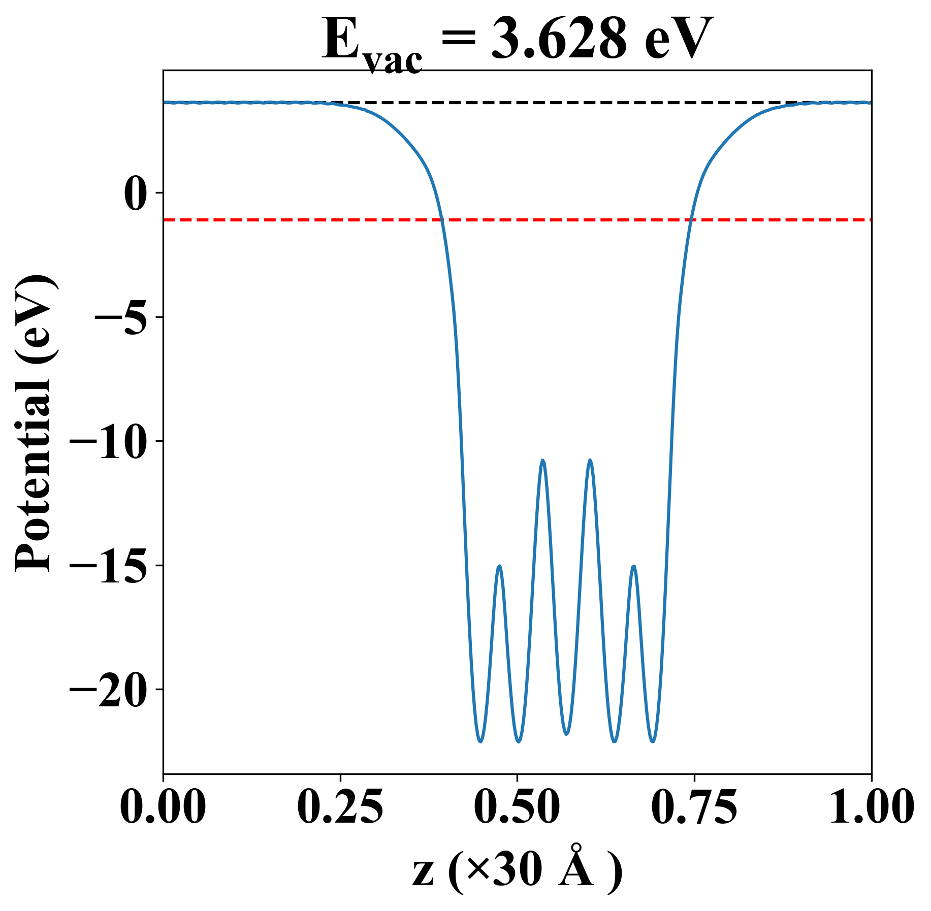
| Vacuum level |
3.628 eV |
| VBM |
-1.334 eV |
| CBM |
-0.669 eV |
| Work function |
4.723 eV |
| Direct gap |
No |
| Property |
Value |
| Band gap |
0.41 eV |
| E-fermi |
-1.090 eV |
| VBM |
-1.294 eV |
| CBM |
-0.885 eV |
| Free energy (eV) |
-18.750 |
| Free energy / atom (eV) |
-3.750 |
| Property |
Value |
| Band gap |
0.66 eV |
| E-fermi |
-1.094 eV |
| Vacuum level |
3.628 eV |
| VBM |
-1.334 eV |
| CBM |
-0.669 eV |
| Work function |
4.723 eV |
| Cij (N/m) |
xx |
yy |
xy |
| xx |
58.841 |
14.347 |
0.000 |
| yy |
14.347 |
58.841 |
-0.000 |
| xy |
0.000 |
-0.000 |
22.247 |
| Phonon mode at Γ point (THz) |
| -0.004 |
| -0.004 |
| 0.001 |
| 1.335 |
| 1.335 |
| 1.833 |
| 2.210 |
| 2.210 |
| 2.952 |
| 2.952 |
| 3.332 |
| 3.332 |
| 3.359 |
| 4.832 |
| 5.069 |
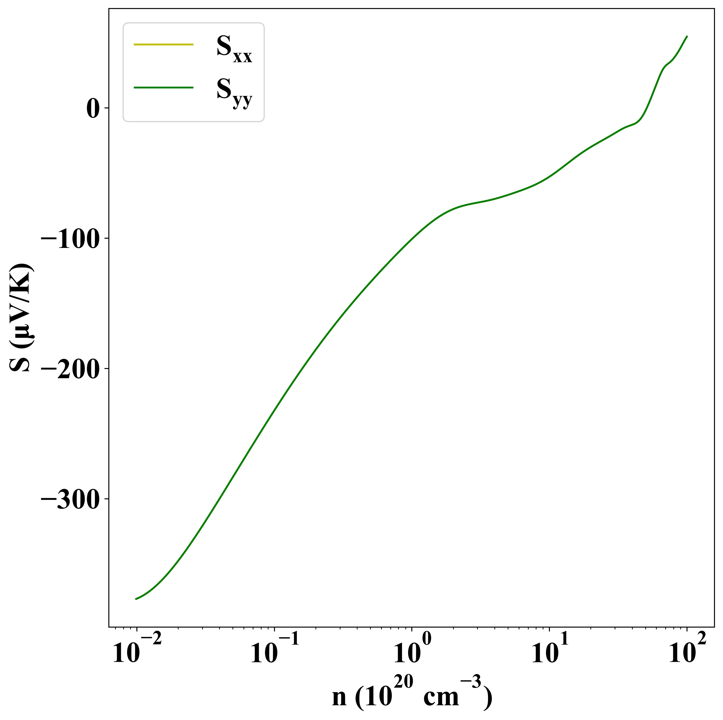
| Carrier type |
C2D (N/m) |
Edef (eV) |
μ (cm2V-1s-1) |
| x |
y |
x |
y |
x |
y |
| hole |
57.27 |
57.45 |
-2.53 |
-3.20 |
-120.37 |
-75.59 |
| electron |
-7.51 |
-7.48 |
90.99 |
92.04 |
| Property |
Value |
| from where |
JVASP-27724 |