Sb2Sn6
MatHub2d-1045-Sb2Sn6
| Property |
Value |
| Space group |
(191, 'P6/mmm') |
| Crystal system |
hexagonal |
| Magnetic |
|
| Band gap (PBE) (eV) |
0.00 |
| Free energy (eV) |
-26.144 |
| Free energy / atom (eV) |
-3.268 |
Lattice Parameters (basic)
| a, b, c (Å): | 9.771 | 9.771 | 30.000 |
| α, β, γ (°): | 90.000 | 90.000 | 120.000 |
Lattice Parameters (computed)
| a, b, c (Å): | 9.683 | 9.683 | 30.000 |
| α, β, γ (°): | 90.000 | 90.000 | 120.000 |
| Property |
Value |
| Band gap |
0.00 eV |
| E-fermi |
-3.280 eV |
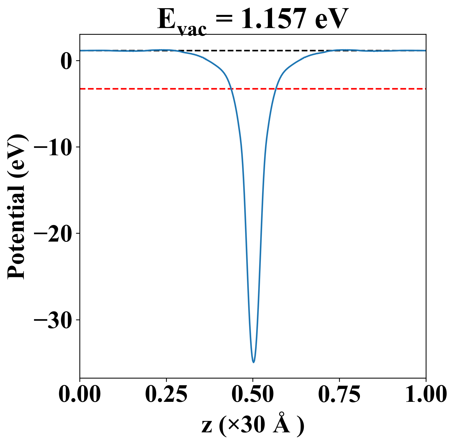
| Vacuum level |
1.157 eV |
| VBM |
-3.280 eV |
| CBM |
-3.280 eV |
| Work function |
4.437 eV |
| Direct gap |
Yes |
| Property |
Value |
| Band gap |
0.00 eV |
| E-fermi |
-3.280 eV |
| Vacuum level |
1.157 eV |
| VBM |
-3.280 eV |
| CBM |
-3.280 eV |
| Work function |
4.437 eV |
| Cij (N/m) |
xx |
yy |
xy |
| xx |
17.964 |
32.864 |
-0.000 |
| yy |
32.864 |
17.964 |
0.000 |
| xy |
-0.000 |
0.000 |
-7.450 |
| Phonon mode at Γ point (THz) |
| -2.631 |
| -1.666 |
| -1.363 |
| -1.363 |
| -0.964 |
| -0.964 |
| -0.843 |
| -0.003 |
| -0.003 |
| 0.010 |
| 0.445 |
| 0.445 |
| 0.643 |
| 3.422 |
| 3.648 |
| 3.648 |
| 4.186 |
| 4.186 |
| 4.188 |
| 5.073 |
| 5.073 |
| 5.339 |
| 5.339 |
| 5.681 |
| Property |
Value |
| from where |
c2db-734 |