Sb2Sn1Te4
MatHub2d-1044-Sb2Sn1Te4
| Property |
Value |
| Space group |
(156, 'P3m1') |
| Crystal system |
hexagonal |
| Magnetic |
No |
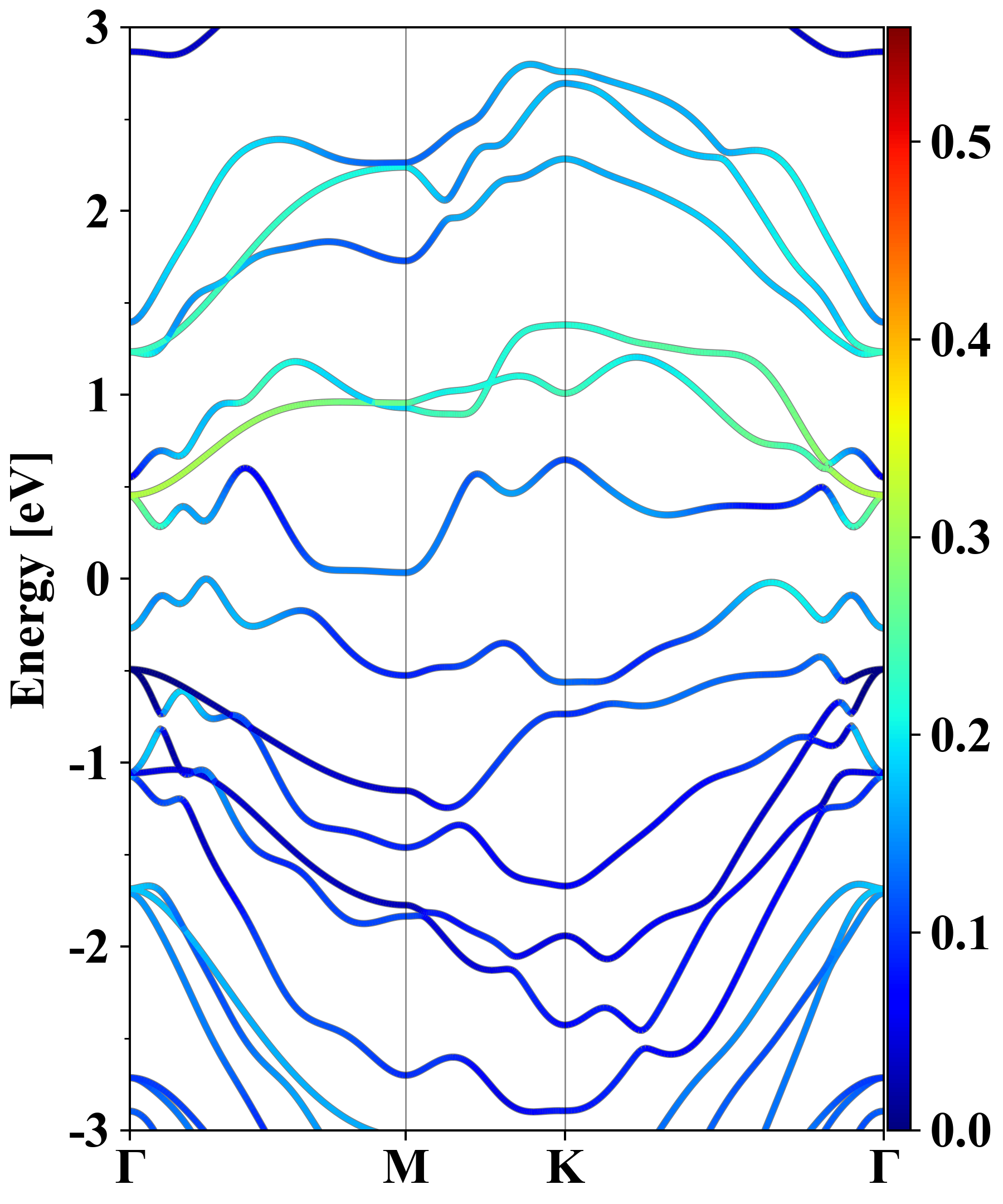
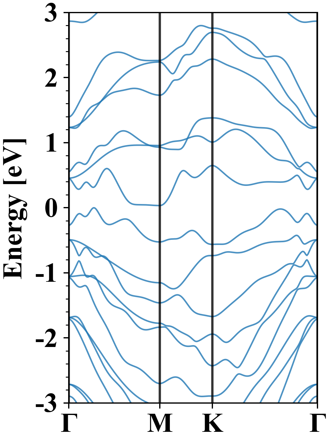
| Band gap (PBE) (eV) |
0.03 |
| Free energy (eV) |
-25.099 |
| Free energy / atom (eV) |
-3.586 |
Lattice Parameters (basic)
| a, b, c (Å): | 4.366 | 4.366 | 30.000 |
| α, β, γ (°): | 90.000 | 90.000 | 120.000 |
Lattice Parameters (computed)
| a, b, c (Å): | 4.308 | 4.308 | 30.000 |
| α, β, γ (°): | 90.000 | 90.000 | 120.000 |
| Property |
Value |
| Band gap |
0.03 eV |
| E-fermi |
0.520 eV |
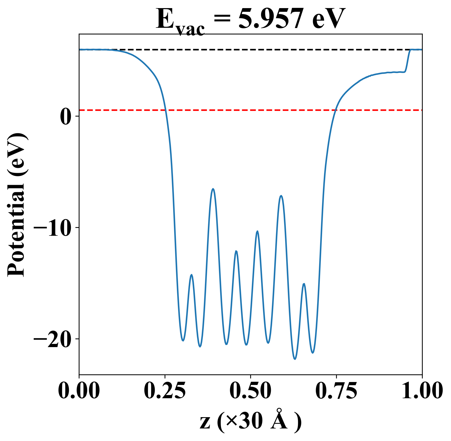
| Vacuum level |
5.957 eV |
| VBM |
0.519 eV |
| CBM |
0.553 eV |
| Work function |
5.437 eV |
| Direct gap |
No |
| Property |
Value |
| Band gap |
0.03 eV |
| E-fermi |
0.520 eV |
| Vacuum level |
5.957 eV |
| VBM |
0.519 eV |
| CBM |
0.553 eV |
| Work function |
5.437 eV |
| Cij (N/m) |
xx |
yy |
xy |
| xx |
54.592 |
19.442 |
-0.000 |
| yy |
19.442 |
54.592 |
-0.000 |
| xy |
-0.000 |
-0.000 |
17.575 |
| Phonon mode at Γ point (THz) |
| -0.005 |
| -0.004 |
| -0.004 |
| 0.845 |
| 0.845 |
| 1.142 |
| 1.266 |
| 1.266 |
| 1.781 |
| 2.510 |
| 2.510 |
| 2.856 |
| 2.856 |
| 2.939 |
| 2.939 |
| 3.158 |
| 3.687 |
| 3.687 |
| 4.077 |
| 4.709 |
| 4.944 |
| Property |
Value |
| from where |
JVASP-8960 |