Sb2Si6
MatHub2d-1043-Sb2Si6
| Property |
Value |
| Space group |
(191, 'P6/mmm') |
| Crystal system |
hexagonal |
| Magnetic |
No |
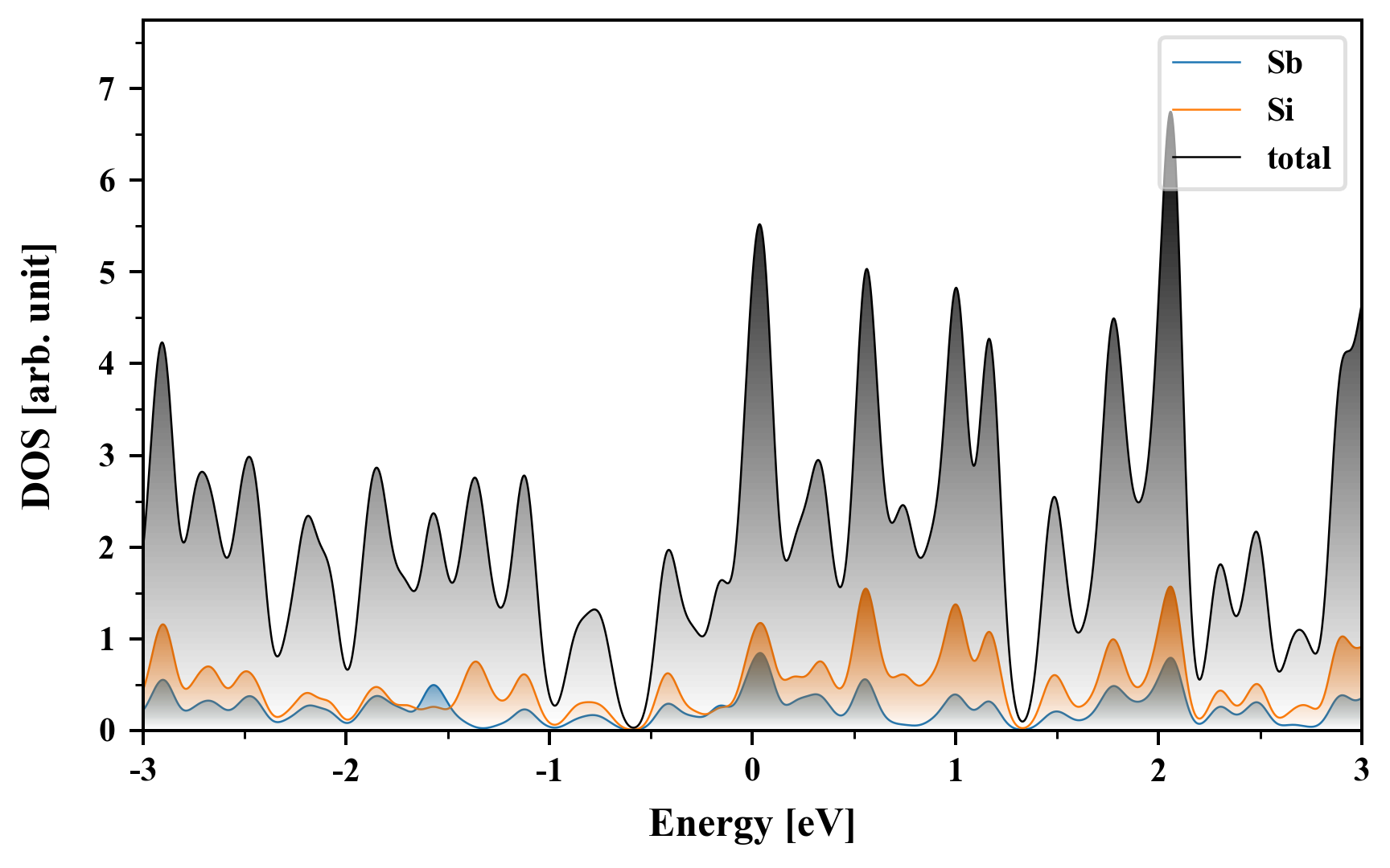
| Band gap (PBE) (eV) |
0.00 |
| Free energy (eV) |
-33.952 |
| Free energy / atom (eV) |
-4.244 |
Lattice Parameters (basic)
| a, b, c (Å): | 8.348 | 8.348 | 30.000 |
| α, β, γ (°): | 90.000 | 90.000 | 120.000 |
Lattice Parameters (computed)
| a, b, c (Å): | 8.277 | 8.277 | 30.000 |
| α, β, γ (°): | 90.000 | 90.000 | 120.000 |
| Property |
Value |
| Band gap |
0.00 eV |
| E-fermi |
-3.389 eV |
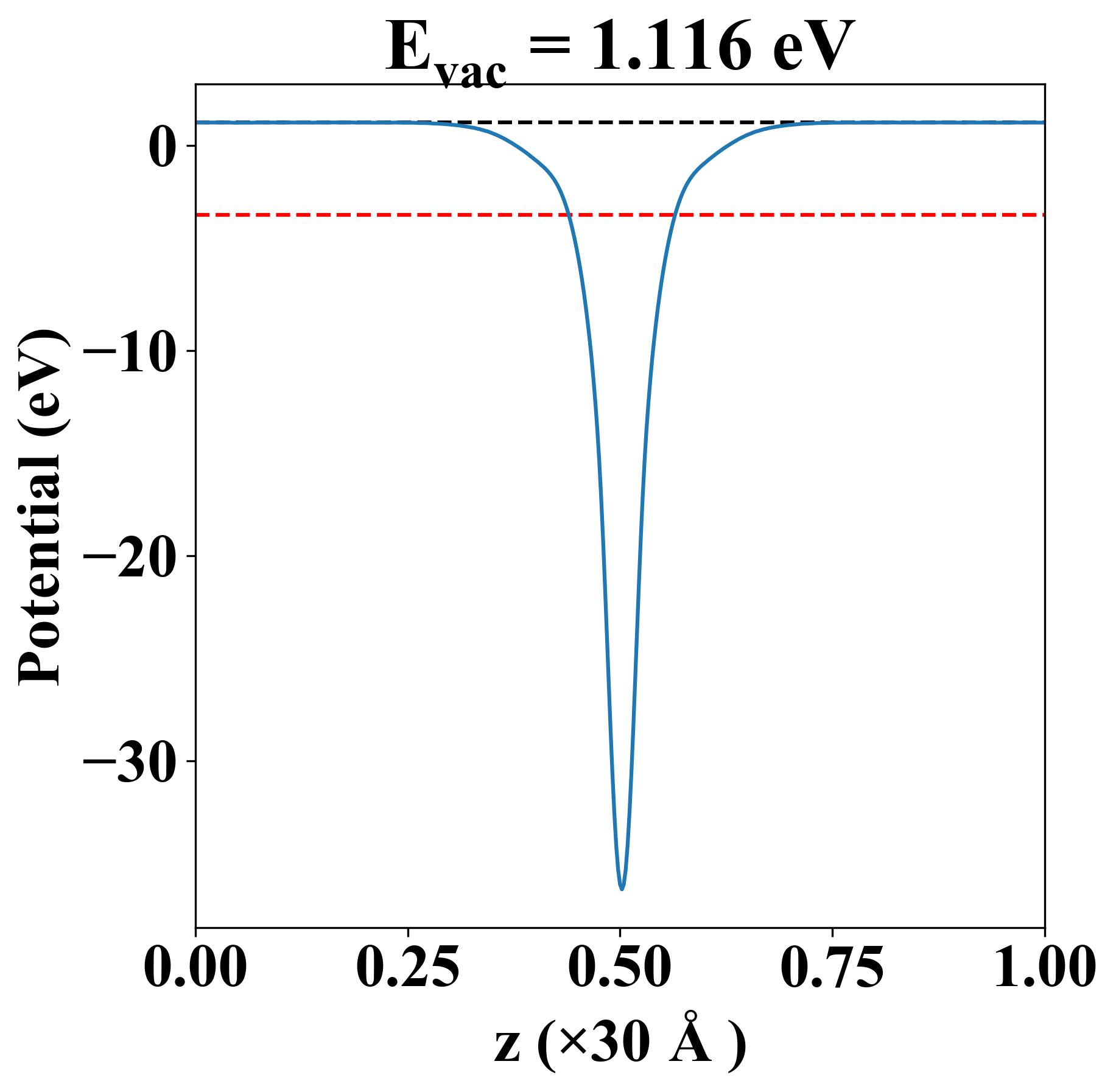
| Vacuum level |
1.116 eV |
| VBM |
-3.390 eV |
| CBM |
-3.389 eV |
| Work function |
4.505 eV |
| Direct gap |
No |
| Property |
Value |
| Band gap |
0.00 eV |
| E-fermi |
-3.389 eV |
| Vacuum level |
1.116 eV |
| VBM |
-3.390 eV |
| CBM |
-3.389 eV |
| Work function |
4.505 eV |
| Cij (N/m) |
xx |
yy |
xy |
| xx |
31.598 |
38.185 |
0.000 |
| yy |
38.185 |
31.598 |
0.000 |
| xy |
0.000 |
0.000 |
-3.294 |
| Phonon mode at Γ point (THz) |
| -4.796 |
| -3.614 |
| -3.082 |
| -3.082 |
| -2.029 |
| -1.149 |
| -1.149 |
| -0.001 |
| 0.001 |
| 0.002 |
| 1.332 |
| 1.332 |
| 2.841 |
| 7.236 |
| 7.236 |
| 8.307 |
| 8.307 |
| 9.310 |
| 12.760 |
| 13.052 |
| 13.052 |
| 15.343 |
| 15.343 |
| 16.601 |
| Property |
Value |
| from where |
c2db-730 |