Sb2Se2Te1
MatHub2d-1042-Sb2Se2Te1
| Property |
Value |
| Space group |
(156, 'P3m1') |
| Crystal system |
hexagonal |
| Magnetic |
No |
| Band gap (PBE) (eV) |
0.65 |
| Free energy (eV) |
-19.519 |
| Free energy / atom (eV) |
-3.904 |
Lattice Parameters (basic)
| a, b, c (Å): | 4.144 | 4.144 | 30.000 |
| α, β, γ (°): | 90.000 | 90.000 | 120.000 |
Lattice Parameters (computed)
| a, b, c (Å): | 4.152 | 4.152 | 30.000 |
| α, β, γ (°): | 90.000 | 90.000 | 120.000 |
| Property |
Value |
| Band gap |
0.65 eV |
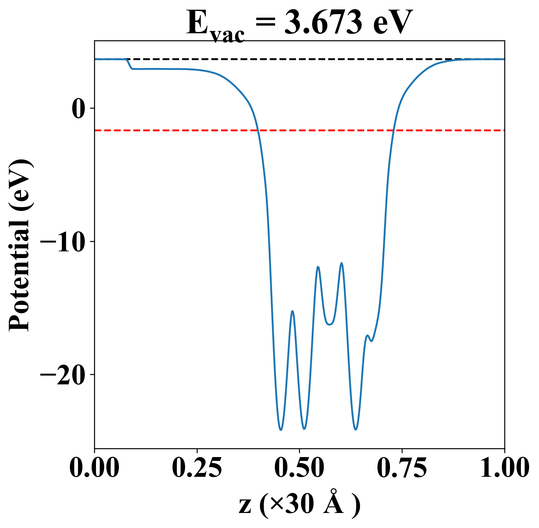
| E-fermi |
-1.668 eV |
| Vacuum level |
3.673 eV |
| VBM |
-1.935 eV |
| CBM |
-1.284 eV |
| Work function |
5.341 eV |
| Direct gap |
No |
| Property |
Value |
| Band gap |
0.49 eV |
| E-fermi |
-1.637 eV |
| VBM |
-1.868 eV |
| CBM |
-1.376 eV |
| Free energy (eV) |
-19.778 |
| Free energy / atom (eV) |
-3.956 |
| Property |
Value |
| Band gap |
0.65 eV |
| E-fermi |
-1.668 eV |
| Vacuum level |
3.673 eV |
| VBM |
-1.935 eV |
| CBM |
-1.284 eV |
| Work function |
5.341 eV |
| Cij (N/m) |
xx |
yy |
xy |
| xx |
66.941 |
17.048 |
0.000 |
| yy |
17.048 |
66.941 |
0.000 |
| xy |
0.000 |
0.000 |
24.947 |
| Phonon mode at Γ point (THz) |
| -0.002 |
| -0.002 |
| -0.002 |
| 1.322 |
| 1.322 |
| 2.054 |
| 2.363 |
| 2.363 |
| 3.485 |
| 3.485 |
| 3.820 |
| 3.820 |
| 4.272 |
| 5.441 |
| 5.681 |
| Carrier type |
C2D (N/m) |
Edef (eV) |
μ (cm2V-1s-1) |
| x |
y |
x |
y |
x |
y |
| hole |
66.16 |
66.21 |
-3.17 |
-4.35 |
-86.27 |
-45.86 |
| electron |
-8.83 |
-8.96 |
93.92 |
91.28 |
| Property |
Value |
| from where |
JVASP-13509 |