Sb2Se1Te2
MatHub2d-1041-Sb2Se1Te2
| Property |
Value |
| Space group |
(164, 'P-3m1') |
| Crystal system |
hexagonal |
| Magnetic |
No |
| Band gap (PBE) (eV) |
0.62 |
| Free energy (eV) |
-18.981 |
| Free energy / atom (eV) |
-3.796 |
Lattice Parameters (basic)
| a, b, c (Å): | 4.226 | 4.226 | 30.000 |
| α, β, γ (°): | 90.000 | 90.000 | 120.000 |
Lattice Parameters (computed)
| a, b, c (Å): | 4.235 | 4.235 | 30.000 |
| α, β, γ (°): | 90.000 | 90.000 | 120.000 |
| Property |
Value |
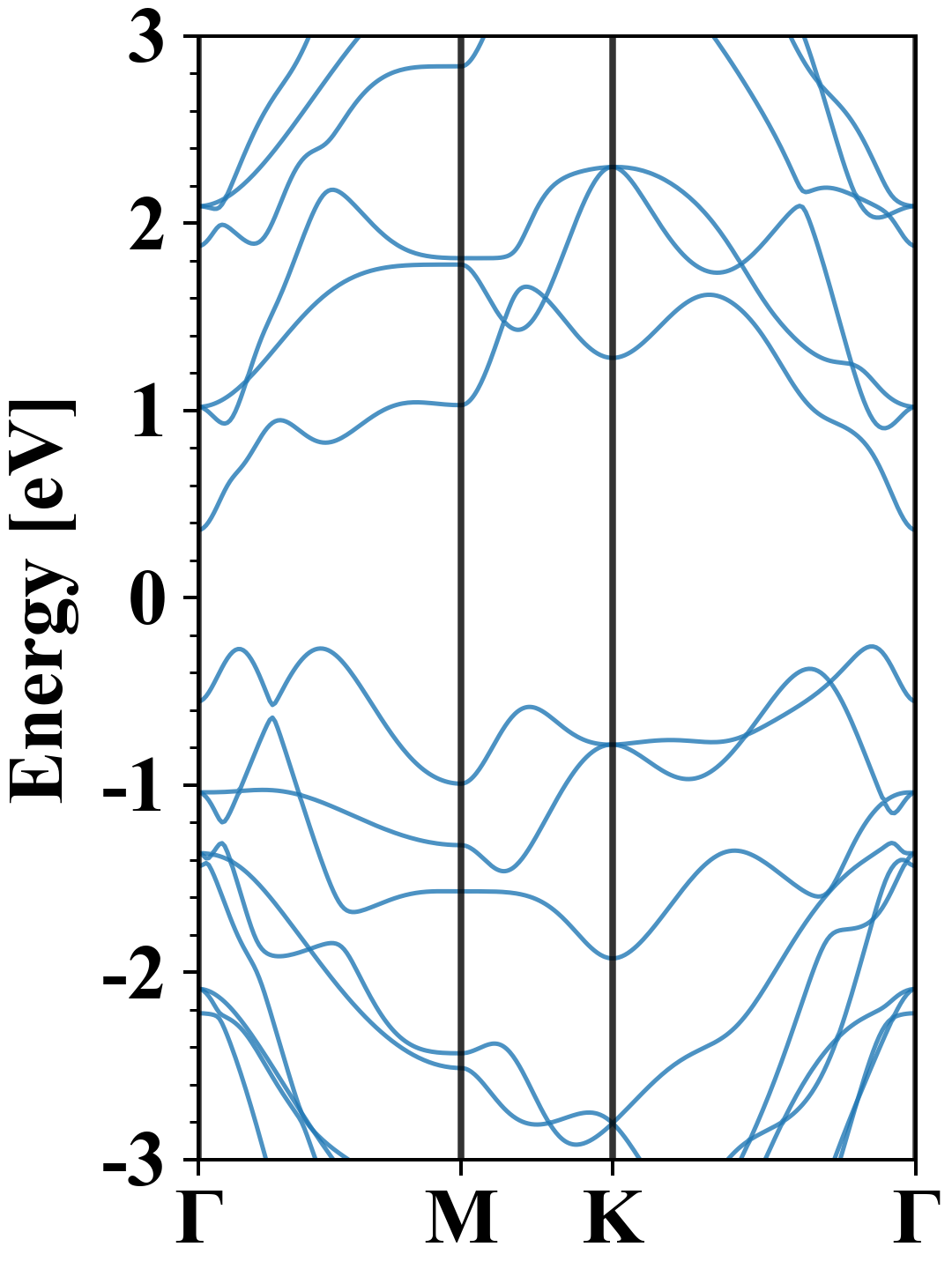
| Band gap |
0.62 eV |
| E-fermi |
-1.307 eV |
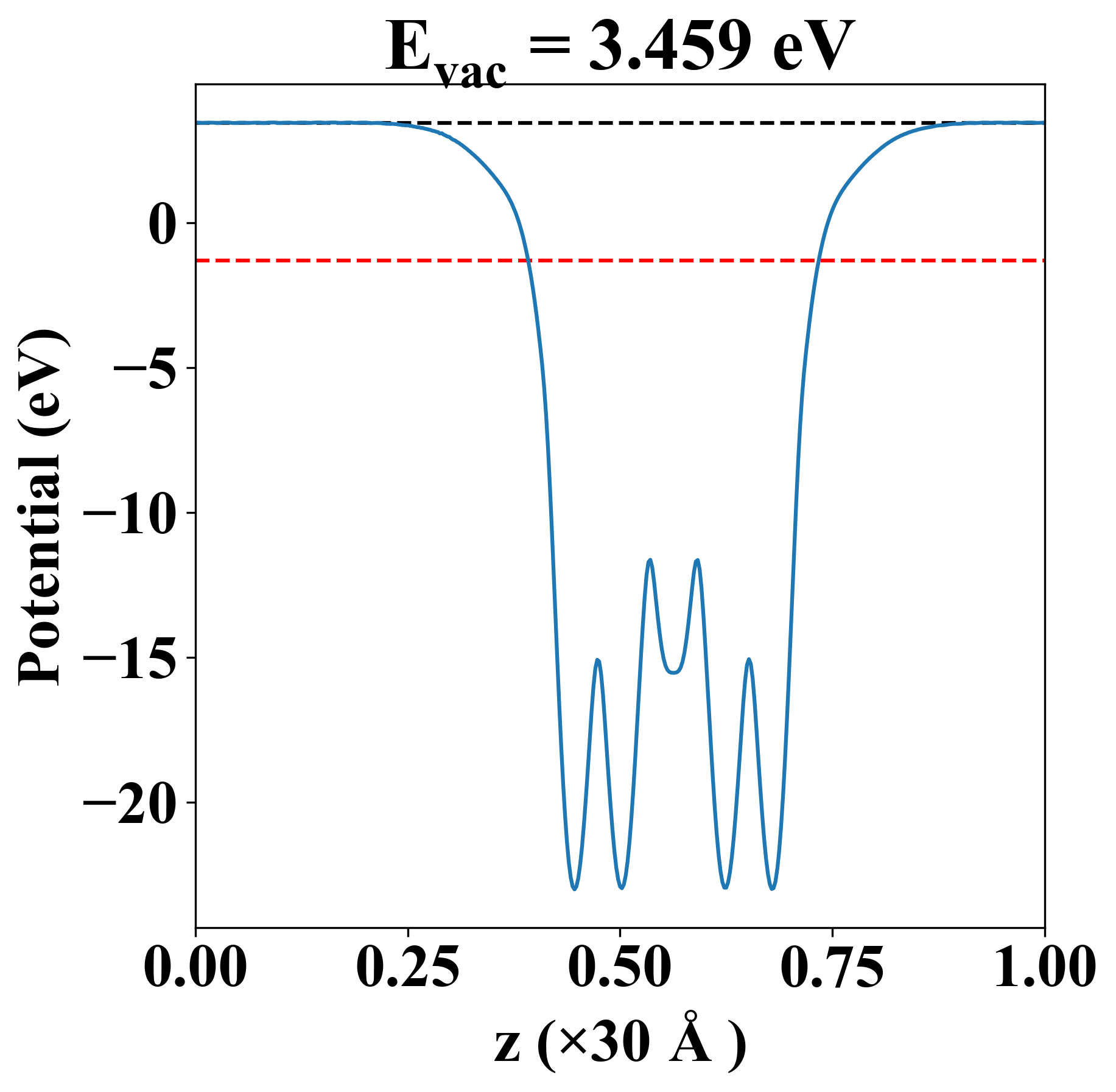
| Vacuum level |
3.459 eV |
| VBM |
-1.567 eV |
| CBM |
-0.946 eV |
| Work function |
4.765 eV |
| Direct gap |
No |
| Property |
Value |
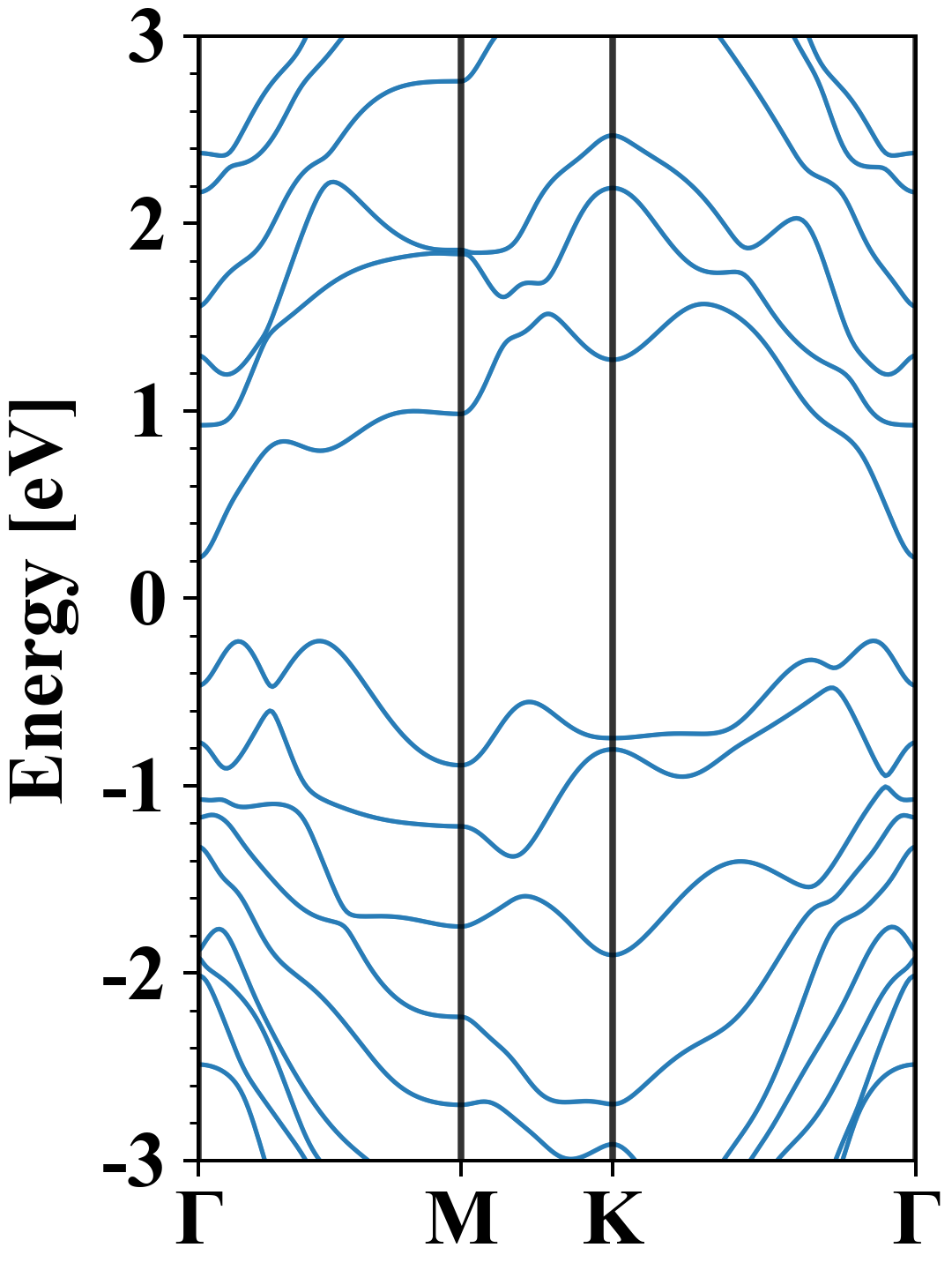
| Band gap |
0.44 eV |
| E-fermi |
-1.302 eV |
| VBM |
-1.530 eV |
| CBM |
-1.087 eV |
| Free energy (eV) |
-19.333 |
| Free energy / atom (eV) |
-3.867 |
| Property |
Value |
| Band gap |
0.62 eV |
| E-fermi |
-1.307 eV |
| Vacuum level |
3.459 eV |
| VBM |
-1.567 eV |
| CBM |
-0.946 eV |
| Work function |
4.765 eV |
| Cij (N/m) |
xx |
yy |
xy |
| xx |
64.820 |
14.629 |
-0.000 |
| yy |
14.629 |
64.820 |
-0.000 |
| xy |
-0.000 |
-0.000 |
25.095 |
| Phonon mode at Γ point (THz) |
| -0.004 |
| -0.004 |
| -0.000 |
| 1.261 |
| 1.261 |
| 1.848 |
| 2.456 |
| 2.456 |
| 3.427 |
| 3.427 |
| 3.509 |
| 3.509 |
| 4.028 |
| 5.163 |
| 5.365 |
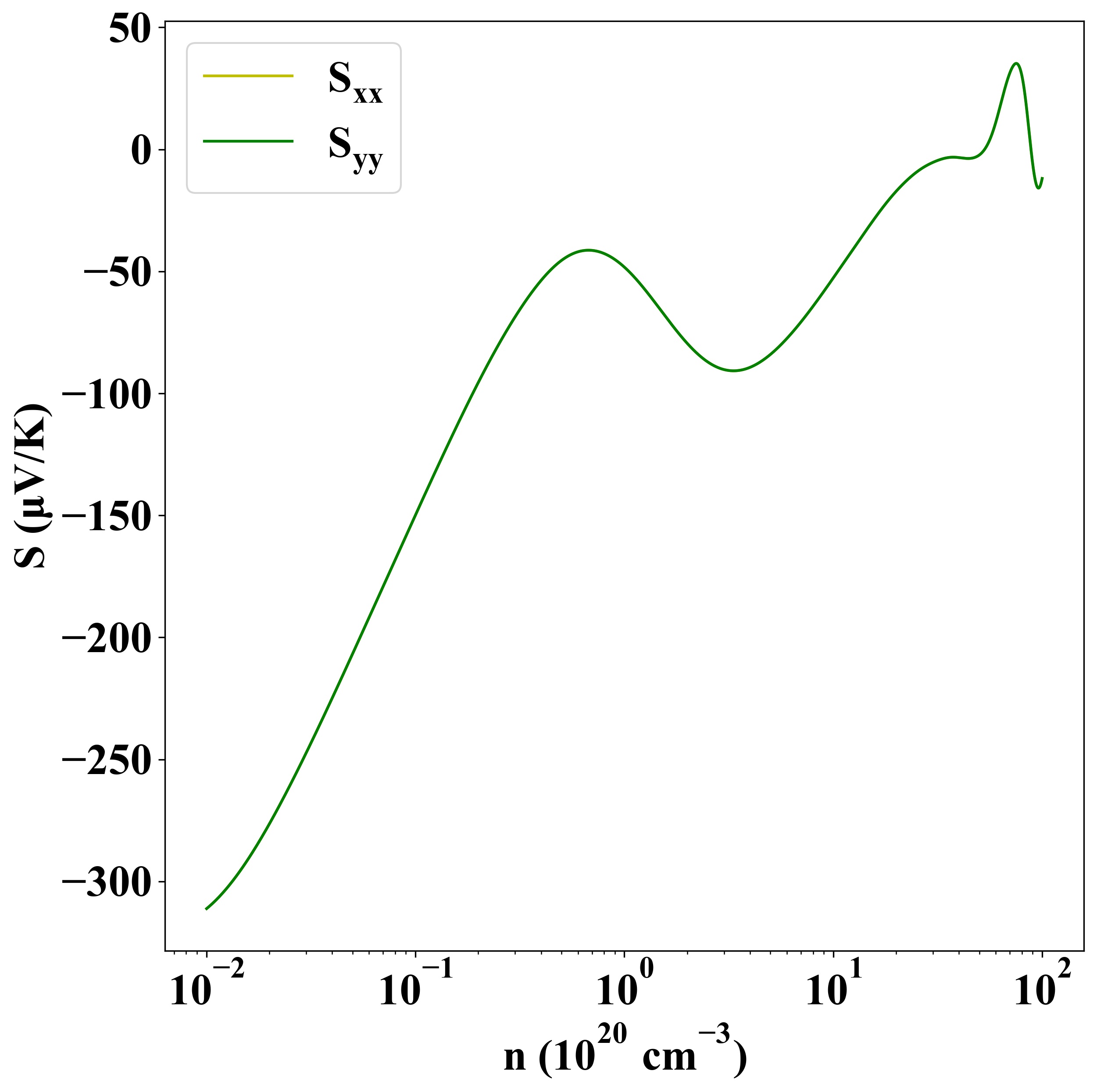
| Carrier type |
C2D (N/m) |
Edef (eV) |
μ (cm2V-1s-1) |
| x |
y |
x |
y |
x |
y |
| hole |
64.70 |
64.62 |
-5.72 |
-5.85 |
-35.80 |
-34.20 |
| electron |
-7.62 |
-8.15 |
136.81 |
119.40 |
| Property |
Value |
| from where |
JVASP-8996 |