Sb1
MatHub2d-1040-Sb1
| Property |
Value |
| Space group |
(191, 'P6/mmm') |
| Crystal system |
hexagonal |
| Magnetic |
No |
| Band gap (PBE) (eV) |
0.00 |
| Free energy (eV) |
-3.471 |
| Free energy / atom (eV) |
-3.471 |
Lattice Parameters (basic)
| a, b, c (Å): | 3.152 | 3.152 | 30.000 |
| α, β, γ (°): | 90.000 | 90.000 | 120.000 |
Lattice Parameters (computed)
| a, b, c (Å): | 3.134 | 3.134 | 30.000 |
| α, β, γ (°): | 90.000 | 90.000 | 120.000 |
| Property |
Value |
| Band gap |
0.00 eV |
| E-fermi |
-2.840 eV |
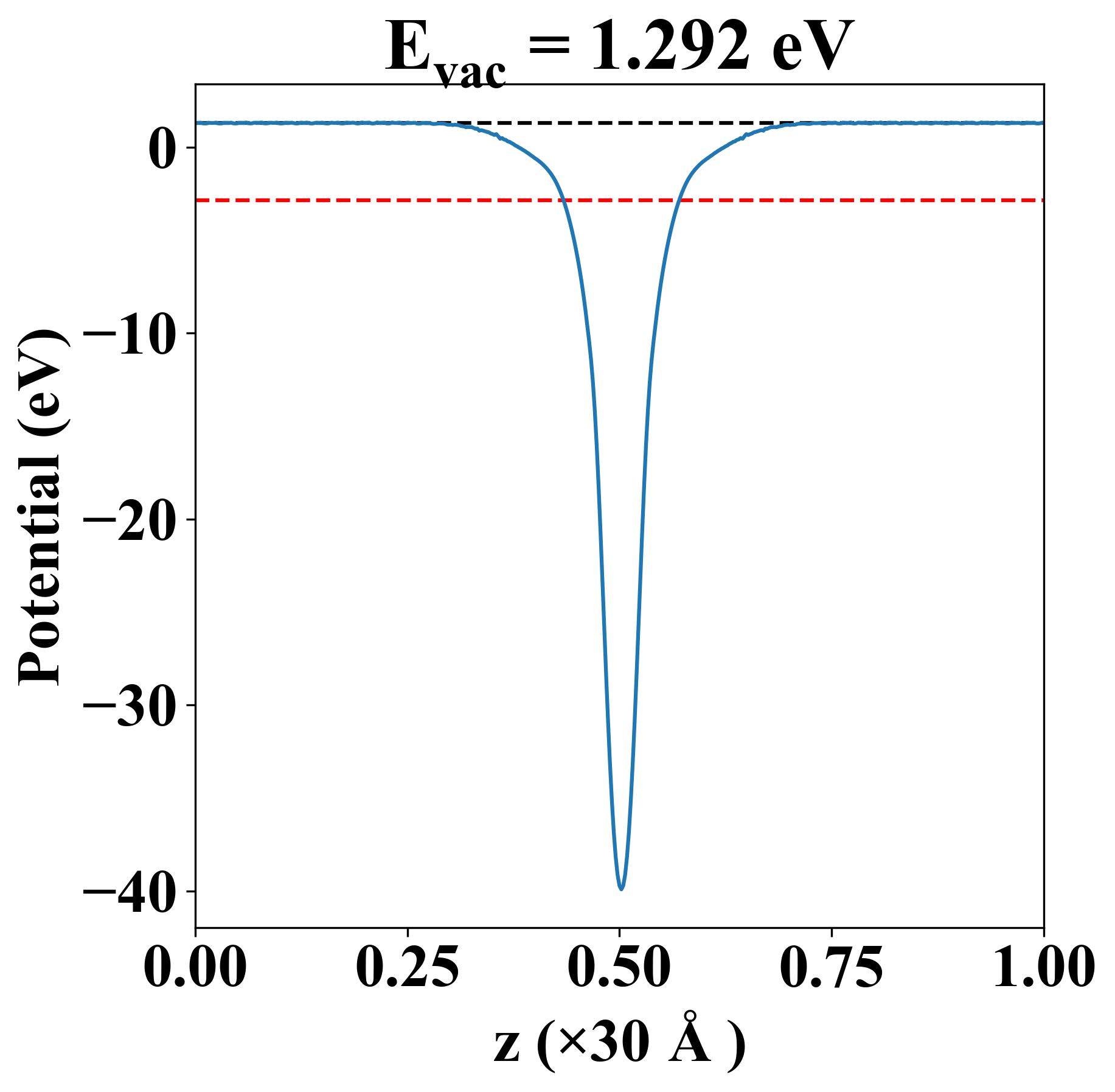
| Vacuum level |
1.292 eV |
| VBM |
-2.852 eV |
| CBM |
-2.823 eV |
| Work function |
4.132 eV |
| Direct gap |
No |
| Property |
Value |
| Band gap |
0.00 eV |
| E-fermi |
-2.840 eV |
| Vacuum level |
1.292 eV |
| VBM |
-2.852 eV |
| CBM |
-2.823 eV |
| Work function |
4.132 eV |
| Cij (N/m) |
xx |
yy |
xy |
| xx |
43.742 |
29.415 |
0.000 |
| yy |
29.415 |
43.742 |
0.000 |
| xy |
0.000 |
0.000 |
7.163 |
| Phonon mode at Γ point (THz) |
| 0.000 |
| 0.000 |
| 0.000 |
| Property |
Value |
| from where |
JVASP-13539 |