S2Zr2
MatHub2d-1039-S2Zr2
| Property |
Value |
| Space group |
(187, 'P-6m2') |
| Crystal system |
hexagonal |
| Magnetic |
No |
| Band gap (PBE) (eV) |
0.00 |
| Free energy (eV) |
-28.891 |
| Free energy / atom (eV) |
-7.223 |
Lattice Parameters (basic)
| a, b, c (Å): | 3.572 | 3.572 | 30.000 |
| α, β, γ (°): | 90.000 | 90.000 | 120.000 |
Lattice Parameters (computed)
| a, b, c (Å): | 3.558 | 3.558 | 30.000 |
| α, β, γ (°): | 90.000 | 90.000 | 120.000 |
| Property |
Value |
| Band gap |
0.00 eV |
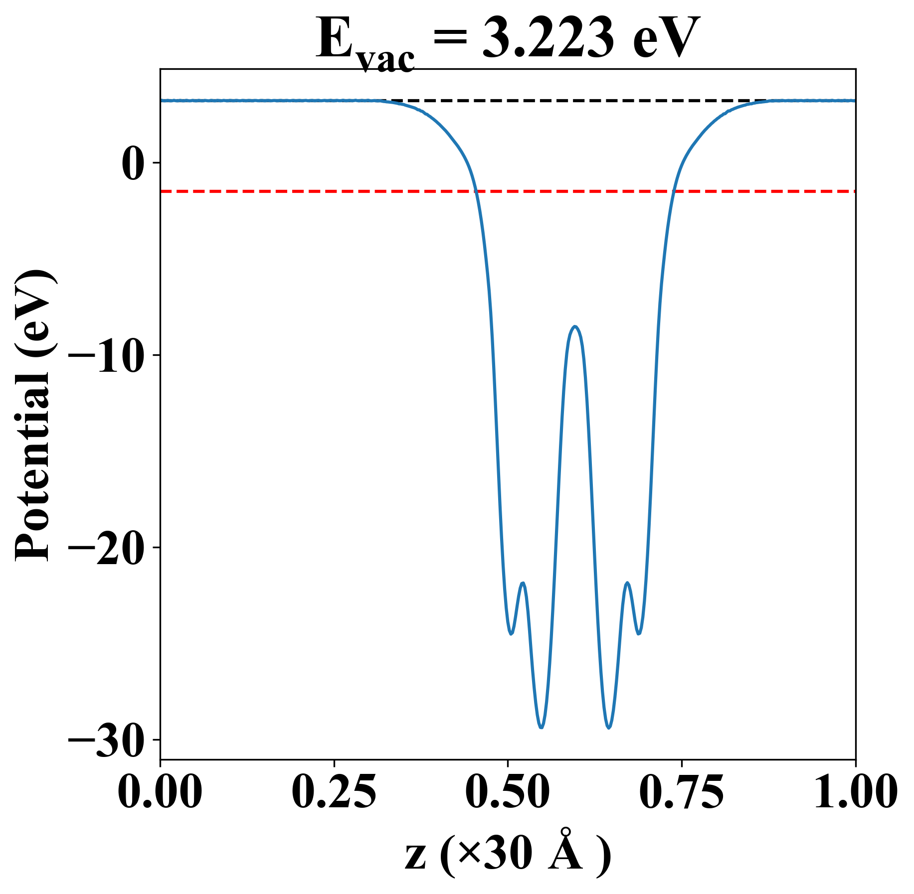
| E-fermi |
-1.492 eV |
| Vacuum level |
3.223 eV |
| VBM |
-1.494 eV |
| CBM |
-1.492 eV |
| Work function |
4.715 eV |
| Direct gap |
No |
| Property |
Value |
| Band gap |
0.00 eV |
| E-fermi |
-1.492 eV |
| Vacuum level |
3.223 eV |
| VBM |
-1.494 eV |
| CBM |
-1.492 eV |
| Work function |
4.715 eV |
| Cij (N/m) |
xx |
yy |
xy |
| xx |
62.305 |
4.350 |
-0.000 |
| yy |
4.350 |
62.305 |
0.000 |
| xy |
-0.000 |
0.000 |
28.977 |
| Phonon mode at Γ point (THz) |
| -0.759 |
| -0.759 |
| -0.003 |
| -0.003 |
| -0.001 |
| 3.802 |
| 7.115 |
| 7.115 |
| 7.327 |
| 7.327 |
| 9.959 |
| 10.133 |
| Property |
Value |
| from where |
c2db-1719 |