S2Zr1
MatHub2d-1038-S2Zr1
| Property |
Value |
| Space group |
(187, 'P-6m2') |
| Crystal system |
hexagonal |
| Magnetic |
No |
| Band gap (PBE) (eV) |
0.96 |
| Free energy (eV) |
-20.871 |
| Free energy / atom (eV) |
-6.957 |
Lattice Parameters (basic)
| a, b, c (Å): | 3.571 | 3.571 | 30.000 |
| α, β, γ (°): | 90.000 | 90.000 | 120.000 |
Lattice Parameters (computed)
| a, b, c (Å): | 3.570 | 3.570 | 30.000 |
| α, β, γ (°): | 90.000 | 90.000 | 120.000 |
| Property |
Value |
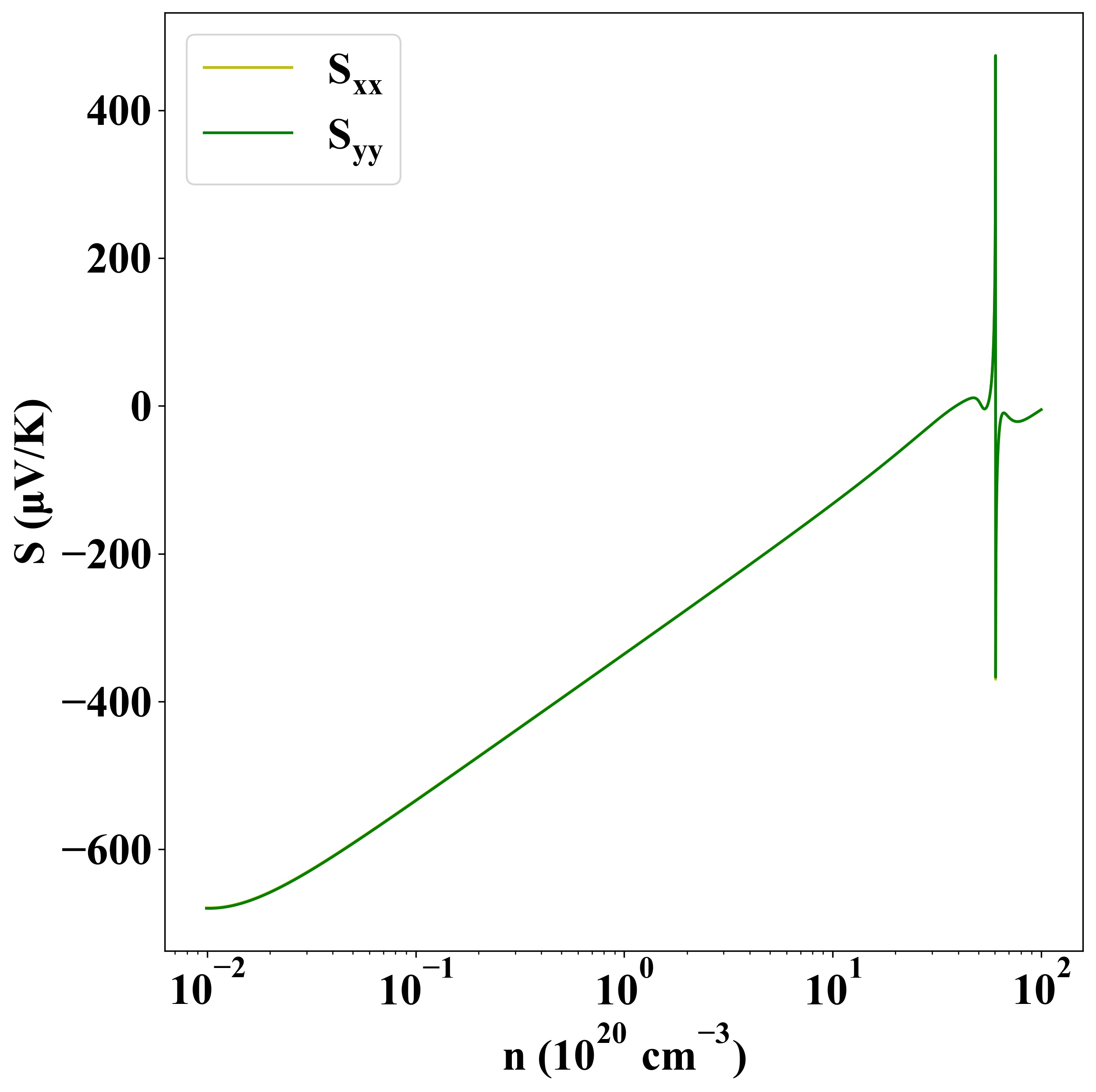
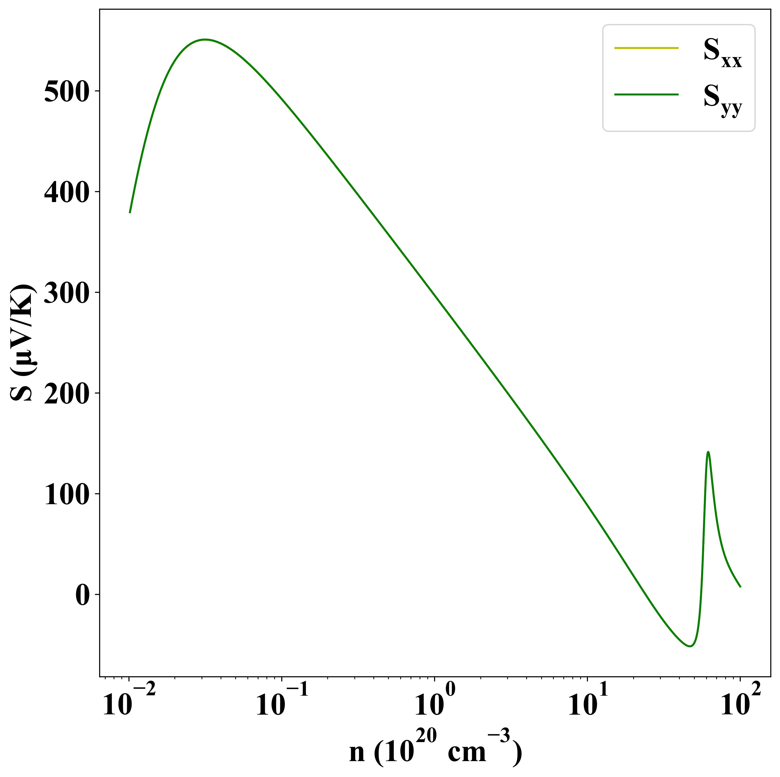
| Band gap |
0.96 eV |
| E-fermi |
-4.295 eV |
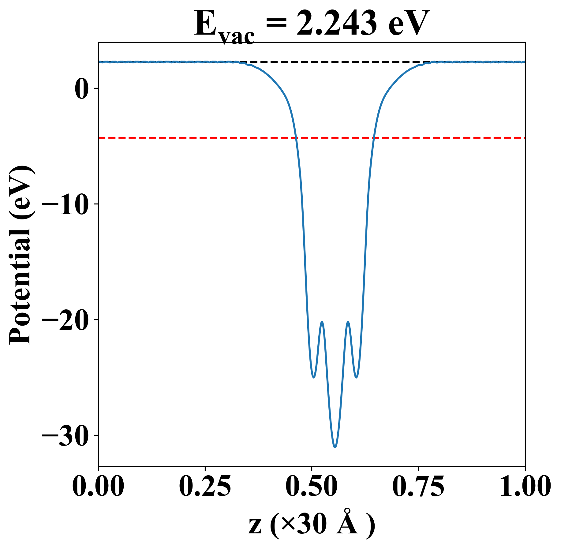
| Vacuum level |
2.243 eV |
| VBM |
-4.536 eV |
| CBM |
-3.574 eV |
| Work function |
6.539 eV |
| Direct gap |
No |
| Property |
Value |
| Band gap |
0.98 eV |
| E-fermi |
-4.298 eV |
| VBM |
-4.570 eV |
| CBM |
-3.595 eV |
| Free energy (eV) |
-20.940 |
| Free energy / atom (eV) |
-6.980 |
| Property |
Value |
| Band gap |
0.96 eV |
| E-fermi |
-4.295 eV |
| Vacuum level |
2.243 eV |
| VBM |
-4.536 eV |
| CBM |
-3.574 eV |
| Work function |
6.539 eV |
| Cij (N/m) |
xx |
yy |
xy |
| xx |
84.702 |
31.953 |
-0.000 |
| yy |
31.953 |
84.702 |
-0.000 |
| xy |
-0.000 |
-0.000 |
26.375 |
| Phonon mode at Γ point (THz) |
| -0.002 |
| -0.001 |
| -0.001 |
| 2.418 |
| 2.418 |
| 7.492 |
| 7.492 |
| 10.175 |
| 10.562 |
| Property |
Value |
| from where |
c2db-670 |