S2Zr1
MatHub2d-1037-S2Zr1
| Property |
Value |
| Space group |
(164, 'P-3m1') |
| Crystal system |
hexagonal |
| Magnetic |
No |
| Band gap (PBE) (eV) |
1.19 |
| Free energy (eV) |
-21.432 |
| Free energy / atom (eV) |
-7.144 |
Lattice Parameters (basic)
| a, b, c (Å): | 3.686 | 3.686 | 30.000 |
| α, β, γ (°): | 90.000 | 90.000 | 120.000 |
Lattice Parameters (computed)
| a, b, c (Å): | 3.684 | 3.684 | 30.000 |
| α, β, γ (°): | 90.000 | 90.000 | 120.000 |
| Property |
Value |
| Band gap |
1.19 eV |
| E-fermi |
-4.118 eV |
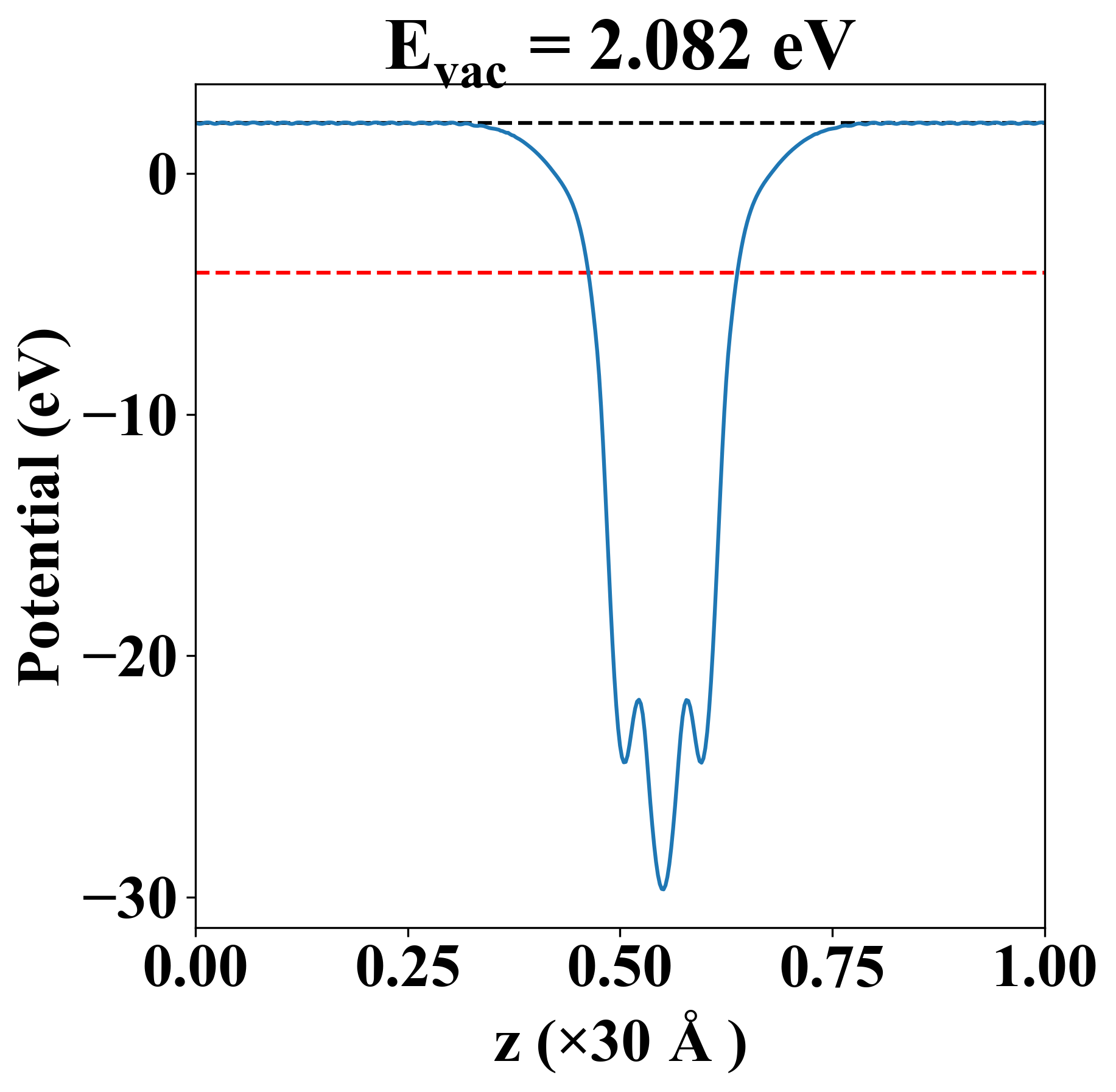
| Vacuum level |
2.082 eV |
| VBM |
-4.341 eV |
| CBM |
-3.148 eV |
| Work function |
6.200 eV |
| Direct gap |
No |
| Property |
Value |
| Band gap |
1.19 eV |
| E-fermi |
-4.118 eV |
| Vacuum level |
2.082 eV |
| VBM |
-4.341 eV |
| CBM |
-3.148 eV |
| Work function |
6.200 eV |
| Cij (N/m) |
xx |
yy |
xy |
| xx |
75.061 |
14.680 |
0.000 |
| yy |
14.680 |
75.061 |
-0.000 |
| xy |
0.000 |
-0.000 |
30.191 |
| Phonon mode at Γ point (THz) |
| -0.002 |
| -0.002 |
| -0.001 |
| 4.392 |
| 4.392 |
| 7.296 |
| 7.296 |
| 9.124 |
| 9.968 |
| Property |
Value |
| from where |
shu-79 |