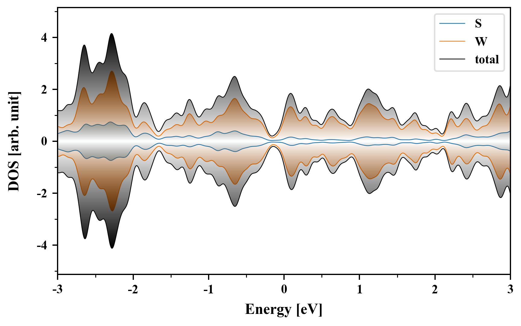
S2W2
MatHub2d-1036-S2W2
| Property |
Value |
| Space group |
(187, 'P-6m2') |
| Crystal system |
hexagonal |
| Magnetic |
|
| Band gap (PBE) (eV) |
0.00 |
| Free energy (eV) |
-29.085 |
| Free energy / atom (eV) |
-7.271 |
Lattice Parameters (basic)
| a, b, c (Å): | 3.054 | 3.054 | 30.000 |
| α, β, γ (°): | 90.000 | 90.000 | 120.000 |
Lattice Parameters (computed)
| a, b, c (Å): | 3.059 | 3.059 | 30.000 |
| α, β, γ (°): | 90.000 | 90.000 | 120.000 |
| Property |
Value |
| Band gap |
0.00 eV |
| E-fermi |
-1.781 eV |
| Vacuum level |
3.444 eV |
| VBM |
-1.781 eV |
| CBM |
-1.781 eV |
| Work function |
5.225 eV |
| Direct gap |
No |
| Property |
Value |
| Band gap |
0.00 eV |
| E-fermi |
-1.781 eV |
| Vacuum level |
3.444 eV |
| VBM |
-1.781 eV |
| CBM |
-1.781 eV |
| Work function |
5.225 eV |
| Cij (N/m) |
xx |
yy |
xy |
| xx |
121.388 |
46.644 |
-0.000 |
| yy |
46.644 |
121.388 |
-0.000 |
| xy |
-0.000 |
-0.000 |
37.372 |
| Phonon mode at Γ point (THz) |
| -3.001 |
| -3.001 |
| -0.001 |
| 0.001 |
| 0.001 |
| 4.496 |
| 8.252 |
| 8.252 |
| 8.582 |
| 8.582 |
| 11.808 |
| 11.923 |
| Property |
Value |
| from where |
c2db-1715 |