S2W1
MatHub2d-1035-S2W1
| Property |
Value |
| Space group |
(187, 'P-6m2') |
| Crystal system |
hexagonal |
| Magnetic |
No |
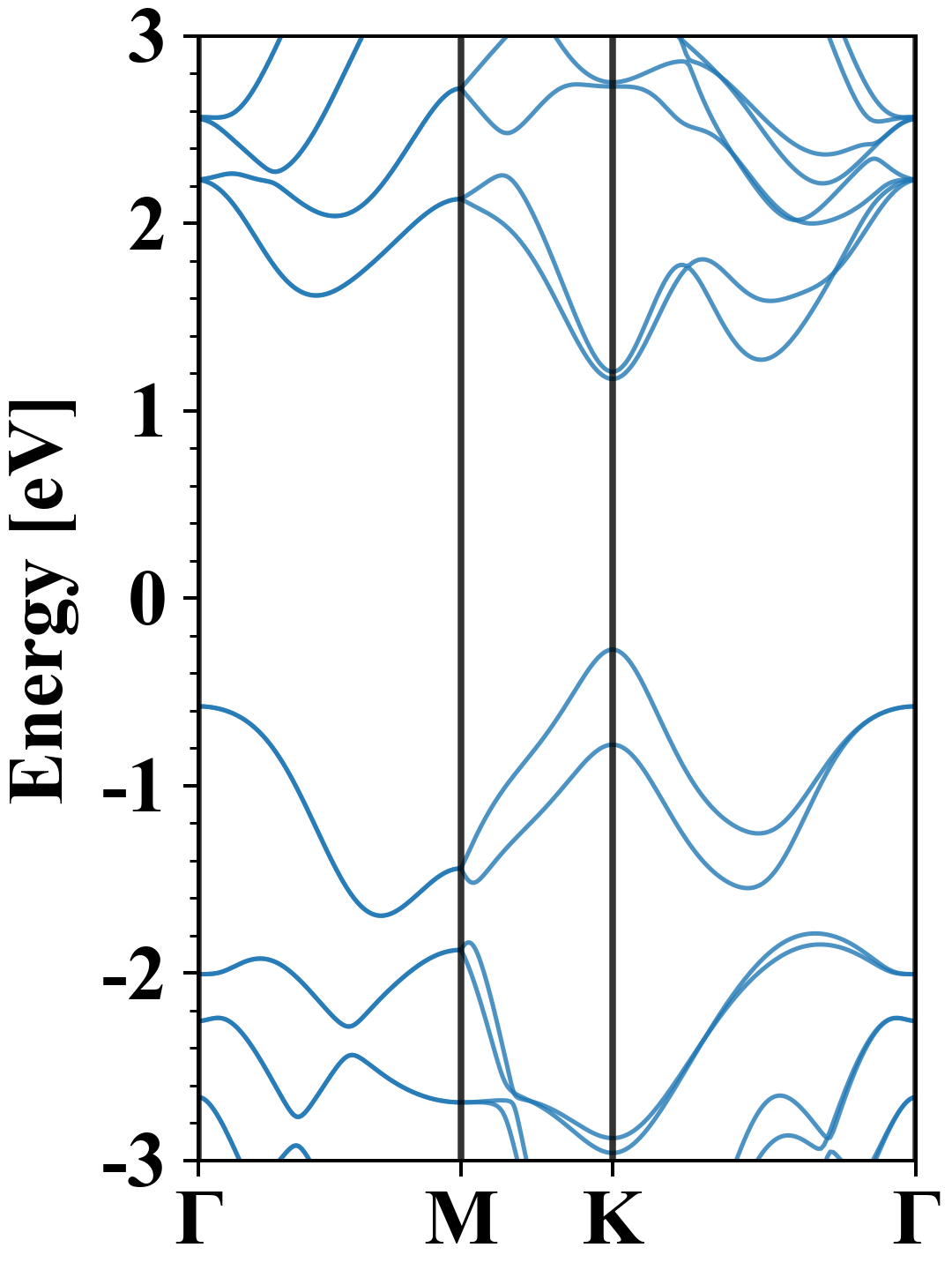
| Band gap (PBE) (eV) |
1.76 |
| Free energy (eV) |
-21.038 |
| Free energy / atom (eV) |
-7.013 |
Lattice Parameters (basic)
| a, b, c (Å): | 3.186 | 3.186 | 30.000 |
| α, β, γ (°): | 90.000 | 90.000 | 120.000 |
Lattice Parameters (computed)
| a, b, c (Å): | 3.191 | 3.191 | 30.000 |
| α, β, γ (°): | 90.000 | 90.000 | 120.000 |
| Property |
Value |
| Band gap |
1.76 eV |
| E-fermi |
-3.164 eV |
| Vacuum level |
2.273 eV |
| VBM |
-3.371 eV |
| CBM |
-1.614 eV |
| Work function |
5.437 eV |
| Direct gap |
Yes |
| Property |
Value |
| Band gap |
1.44 eV |
| E-fermi |
-2.861 eV |
| VBM |
-3.135 eV |
| CBM |
-1.691 eV |
| Free energy (eV) |
-21.205 |
| Free energy / atom (eV) |
-7.068 |
| Property |
Value |
| Band gap |
1.76 eV |
| E-fermi |
-3.164 eV |
| Vacuum level |
2.273 eV |
| VBM |
-3.371 eV |
| CBM |
-1.614 eV |
| Work function |
5.437 eV |
| Cij (N/m) |
xx |
yy |
xy |
| xx |
143.928 |
31.024 |
0.000 |
| yy |
31.024 |
143.928 |
-0.000 |
| xy |
0.000 |
-0.000 |
56.452 |
| Phonon mode at Γ point (THz) |
| -0.001 |
| -0.001 |
| -0.001 |
| 8.577 |
| 8.577 |
| 10.292 |
| 10.292 |
| 12.191 |
| 12.698 |
| Property |
Value |
| from where |
c2db-662 |