S2W1
MatHub2d-1034-S2W1
| Property |
Value |
| Space group |
(164, 'P-3m1') |
| Crystal system |
hexagonal |
| Magnetic |
No |
| Band gap (PBE) (eV) |
0.00 |
| Free energy (eV) |
-20.167 |
| Free energy / atom (eV) |
-6.722 |
Lattice Parameters (basic)
| a, b, c (Å): | 3.210 | 3.210 | 30.000 |
| α, β, γ (°): | 90.000 | 90.000 | 120.000 |
Lattice Parameters (computed)
| a, b, c (Å): | 3.208 | 3.208 | 30.000 |
| α, β, γ (°): | 90.000 | 90.000 | 120.000 |
| Property |
Value |
| Band gap |
0.00 eV |
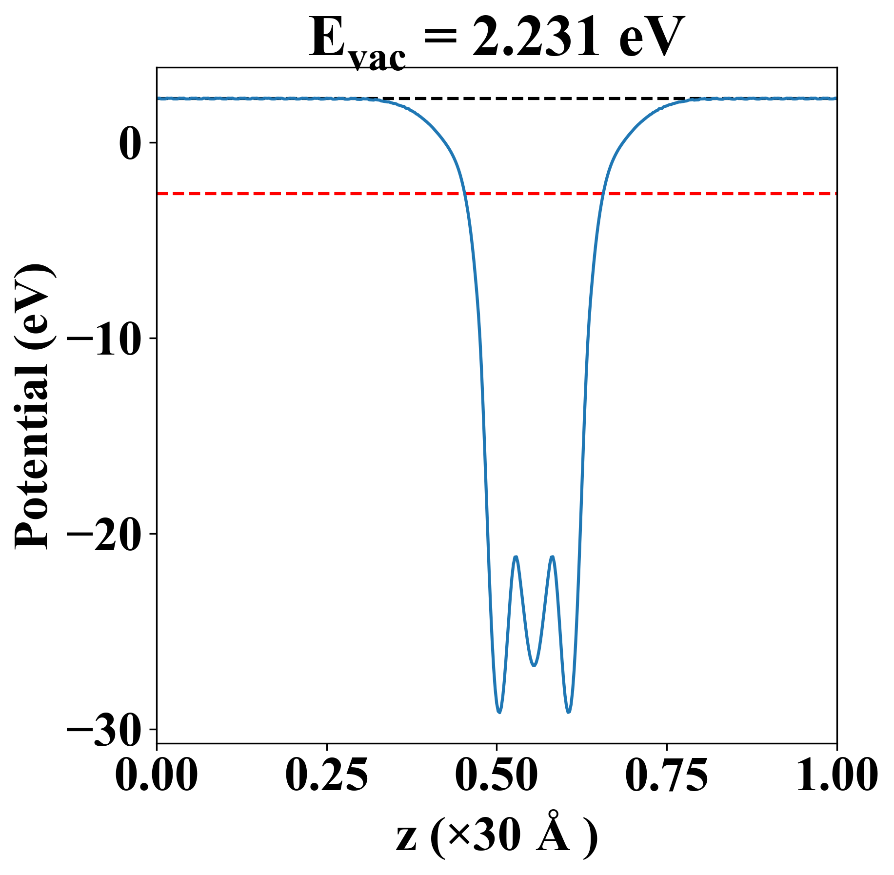
| E-fermi |
-2.626 eV |
| Vacuum level |
2.231 eV |
| VBM |
-2.637 eV |
| CBM |
-2.619 eV |
| Work function |
4.857 eV |
| Direct gap |
No |
| Property |
Value |
| Band gap |
0.00 eV |
| E-fermi |
-2.626 eV |
| Vacuum level |
2.231 eV |
| VBM |
-2.637 eV |
| CBM |
-2.619 eV |
| Work function |
4.857 eV |
| Cij (N/m) |
xx |
yy |
xy |
| xx |
101.763 |
-3.466 |
-0.000 |
| yy |
-3.466 |
101.763 |
-0.000 |
| xy |
-0.000 |
-0.000 |
52.615 |
| Phonon mode at Γ point (THz) |
| -0.000 |
| 0.001 |
| 0.001 |
| 6.346 |
| 6.346 |
| 7.978 |
| 7.978 |
| 10.927 |
| 11.125 |
| Property |
Value |
| from where |
c2db-661 |