S2V2
MatHub2d-1033-S2V2
| Property |
Value |
| Space group |
(187, 'P-6m2') |
| Crystal system |
hexagonal |
| Magnetic |
No |
| Band gap (PBE) (eV) |
0.47 |
| Free energy (eV) |
-22.364 |
| Free energy / atom (eV) |
-5.591 |
Lattice Parameters (basic)
| a, b, c (Å): | 3.529 | 3.529 | 30.000 |
| α, β, γ (°): | 90.000 | 90.000 | 120.000 |
Lattice Parameters (computed)
| a, b, c (Å): | 3.609 | 3.609 | 30.000 |
| α, β, γ (°): | 90.000 | 90.000 | 120.000 |
| Property |
Value |
| Band gap |
0.47 eV |
| E-fermi |
-2.475 eV |
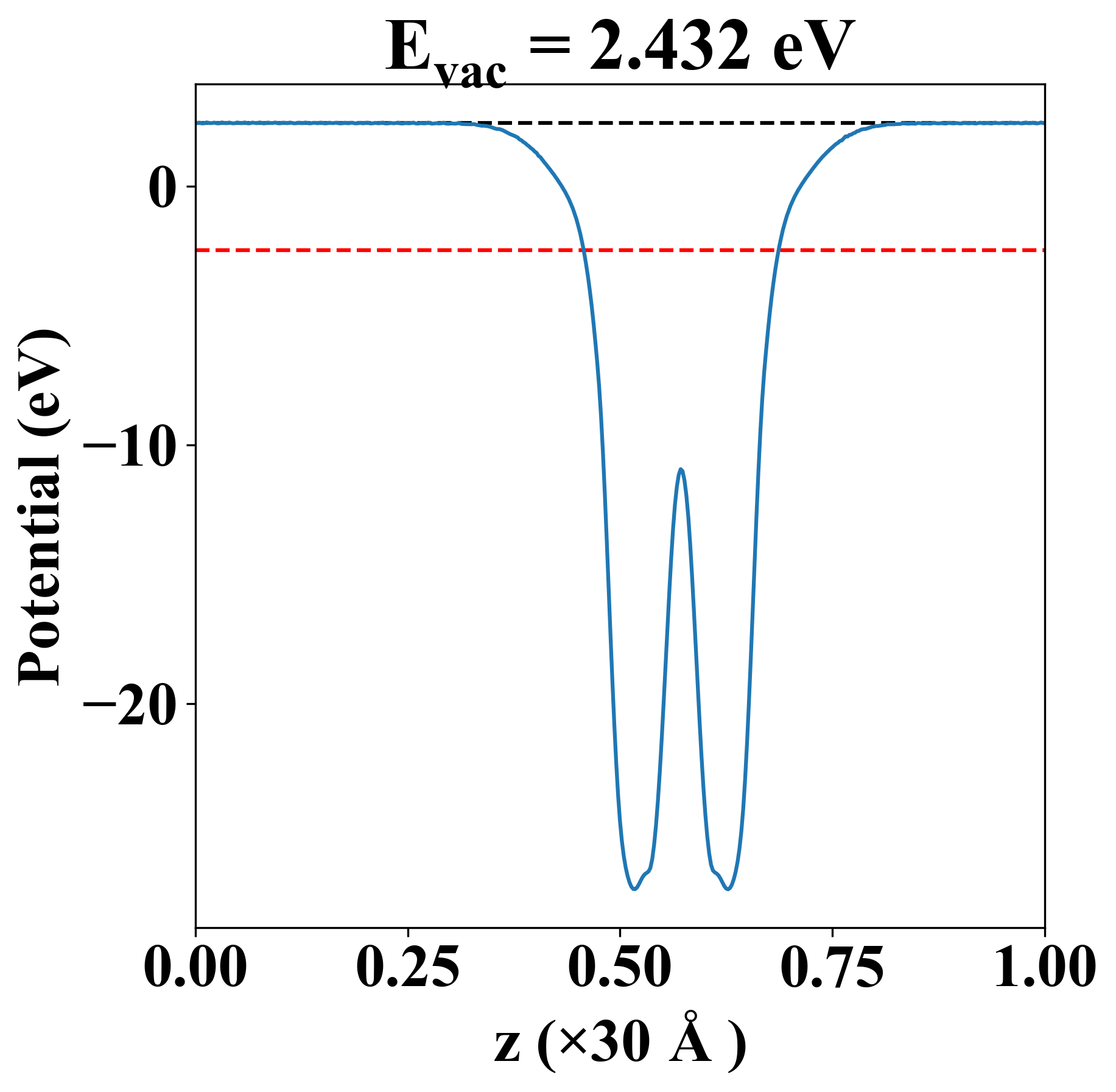
| Vacuum level |
2.432 eV |
| VBM |
-2.724 eV |
| CBM |
-2.258 eV |
| Work function |
4.908 eV |
| Direct gap |
No |
| Property |
Value |
| Band gap |
0.47 eV |
| E-fermi |
-2.475 eV |
| Vacuum level |
2.432 eV |
| VBM |
-2.724 eV |
| CBM |
-2.258 eV |
| Work function |
4.908 eV |
| Cij (N/m) |
xx |
yy |
xy |
| xx |
35.888 |
17.736 |
-0.000 |
| yy |
17.736 |
35.888 |
0.000 |
| xy |
-0.000 |
0.000 |
9.076 |
| Phonon mode at Γ point (THz) |
| -0.017 |
| -0.007 |
| -0.007 |
| 2.145 |
| 2.145 |
| 6.379 |
| 9.351 |
| 9.351 |
| 9.993 |
| 10.775 |
| 10.775 |
| 11.357 |
| Carrier type |
C2D (N/m) |
Edef (eV) |
μ (cm2V-1s-1) |
| x |
y |
x |
y |
x |
y |
| hole |
35.02 |
35.14 |
-4.44 |
-5.85 |
-7.81 |
-4.50 |
| electron |
-2.38 |
-4.84 |
1.44 |
0.35 |
| Property |
Value |
| from where |
c2db-1711 |