S2V1
MatHub2d-1031-S2V1
| Property |
Value |
| Space group |
(164, 'P-3m1') |
| Crystal system |
hexagonal |
| Magnetic |
Yes |
| Band gap (PBE) (eV) |
0.22 |
| Free energy (eV) |
-17.257 |
| Free energy / atom (eV) |
-5.752 |
Lattice Parameters (basic)
| a, b, c (Å): | 3.195 | 3.195 | 30.000 |
| α, β, γ (°): | 90.000 | 90.000 | 120.000 |
Lattice Parameters (computed)
| a, b, c (Å): | 3.322 | 3.322 | 30.000 |
| α, β, γ (°): | 90.000 | 90.000 | 120.000 |
| Property |
Value |
| Band gap |
0.22 eV |
| E-fermi |
-3.424 eV |
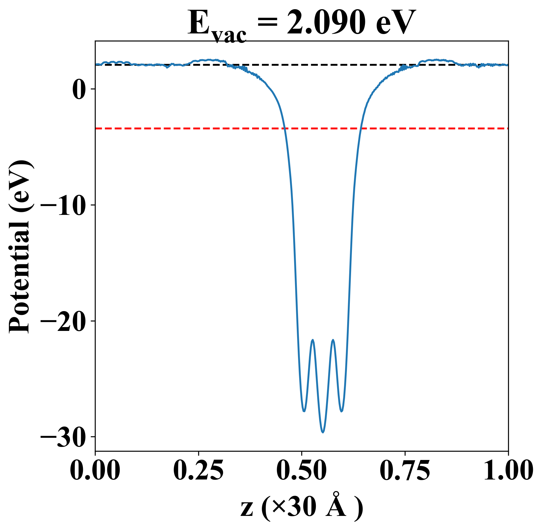
| Vacuum level |
2.090 eV |
| VBM |
-3.530 eV |
| CBM |
-3.313 eV |
| Work function |
5.513 eV |
| Direct gap |
Yes |
| Property |
Value |
| Band gap |
0.18 eV |
| E-fermi |
-3.434 eV |
| VBM |
-3.521 eV |
| CBM |
-3.342 eV |
| Free energy (eV) |
-17.269 |
| Free energy / atom (eV) |
-5.756 |
| Property |
Value |
| Band gap |
0.22 eV |
| E-fermi |
-3.424 eV |
| Vacuum level |
2.090 eV |
| VBM |
-3.530 eV |
| CBM |
-3.313 eV |
| Work function |
5.513 eV |
| Cij (N/m) |
xx |
yy |
xy |
| xx |
72.367 |
10.231 |
0.000 |
| yy |
10.231 |
72.367 |
-0.000 |
| xy |
0.000 |
-0.000 |
31.068 |
| Phonon mode at Γ point (THz) |
| -0.029 |
| -0.029 |
| -0.006 |
| 3.468 |
| 3.468 |
| 6.792 |
| 6.792 |
| 10.005 |
| 11.622 |
| Property |
Value |
| from where |
JVASP-5932 |