S2Tl2
MatHub2d-1030-S2Tl2
| Property |
Value |
| Space group |
(187, 'P-6m2') |
| Crystal system |
hexagonal |
| Magnetic |
No |
| Band gap (PBE) (eV) |
0.56 |
| Free energy (eV) |
-13.119 |
| Free energy / atom (eV) |
-3.280 |
Lattice Parameters (basic)
| a, b, c (Å): | 4.057 | 4.057 | 30.000 |
| α, β, γ (°): | 90.000 | 90.000 | 120.000 |
Lattice Parameters (computed)
| a, b, c (Å): | 4.092 | 4.092 | 30.000 |
| α, β, γ (°): | 90.000 | 90.000 | 120.000 |
| Property |
Value |
| Band gap |
0.56 eV |
| E-fermi |
-3.528 eV |
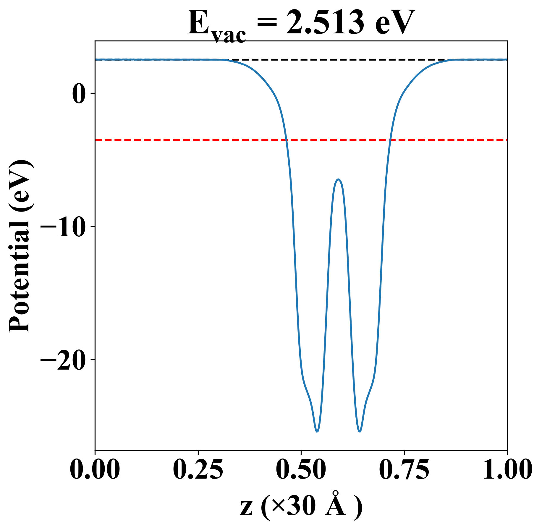
| Vacuum level |
2.513 eV |
| VBM |
-3.750 eV |
| CBM |
-3.186 eV |
| Work function |
6.041 eV |
| Direct gap |
No |
| Property |
Value |
| Band gap |
0.57 eV |
| E-fermi |
-3.528 eV |
| VBM |
-3.753 eV |
| CBM |
-3.186 eV |
| Free energy (eV) |
-13.672 |
| Free energy / atom (eV) |
-3.418 |
| Property |
Value |
| Band gap |
0.56 eV |
| E-fermi |
-3.528 eV |
| Vacuum level |
2.513 eV |
| VBM |
-3.750 eV |
| CBM |
-3.186 eV |
| Work function |
6.041 eV |
| Cij (N/m) |
xx |
yy |
xy |
| xx |
39.393 |
9.341 |
-0.000 |
| yy |
9.341 |
39.393 |
0.000 |
| xy |
-0.000 |
0.000 |
15.026 |
| Phonon mode at Γ point (THz) |
| -0.003 |
| -0.003 |
| -0.001 |
| 0.823 |
| 0.823 |
| 2.766 |
| 5.806 |
| 5.806 |
| 5.823 |
| 5.823 |
| 6.638 |
| 6.750 |
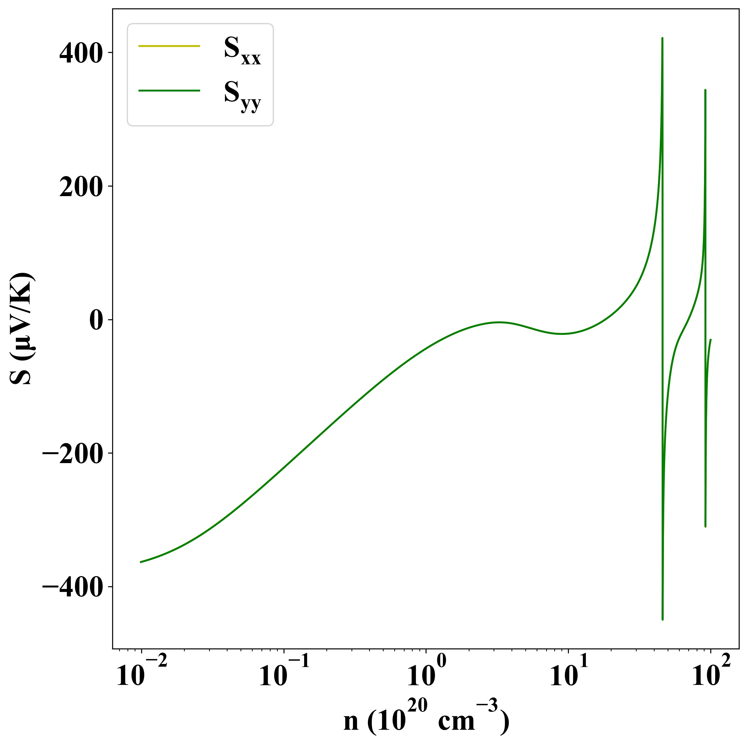
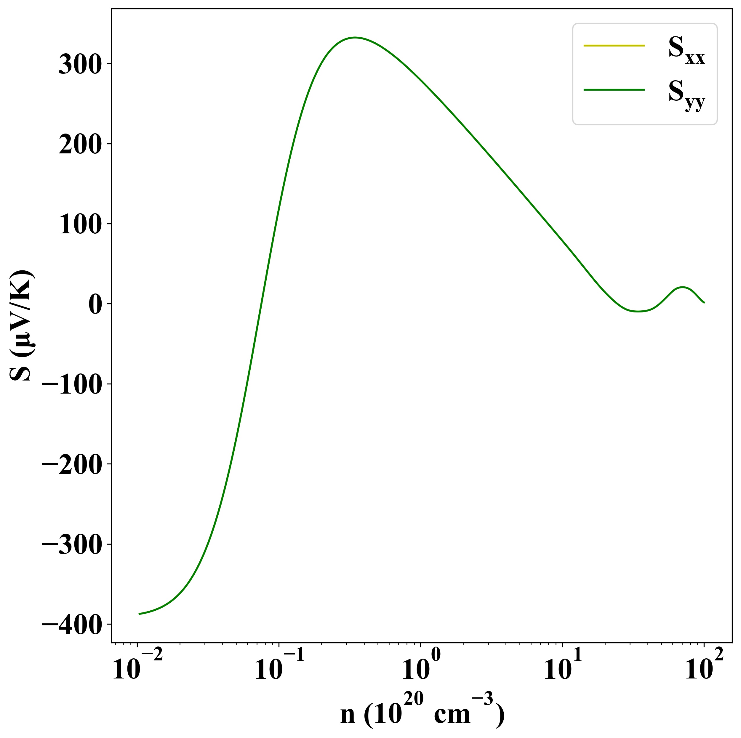
| Carrier type |
C2D (N/m) |
Edef (eV) |
μ (cm2V-1s-1) |
| x |
y |
x |
y |
x |
y |
| hole |
38.49 |
38.59 |
2.44 |
2.22 |
-19.82 |
-24.06 |
| electron |
-3.82 |
-3.83 |
307.40 |
306.30 |
| Property |
Value |
| from where |
c2db-1707 |