S2Ti2
MatHub2d-1029-S2Ti2
| Property |
Value |
| Space group |
(187, 'P-6m2') |
| Crystal system |
hexagonal |
| Magnetic |
Yes |
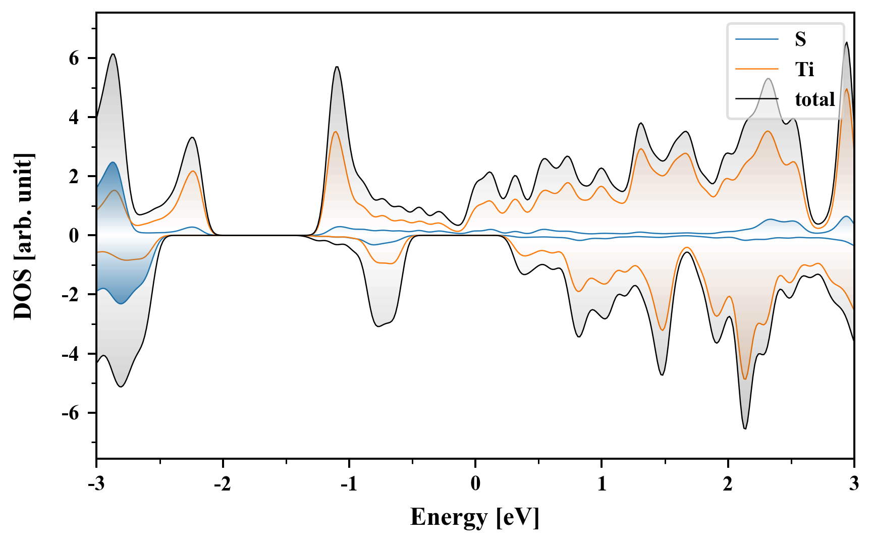
| Band gap (PBE) (eV) |
0.00 |
| Free energy (eV) |
-21.036 |
| Free energy / atom (eV) |
-5.259 |
Lattice Parameters (basic)
| a, b, c (Å): | 3.420 | 3.420 | 30.000 |
| α, β, γ (°): | 90.000 | 90.000 | 120.000 |
Lattice Parameters (computed)
| a, b, c (Å): | 3.578 | 3.578 | 30.000 |
| α, β, γ (°): | 90.000 | 90.000 | 120.000 |
| Property |
Value |
| Band gap |
0.00 eV |
| E-fermi |
-2.370 eV |
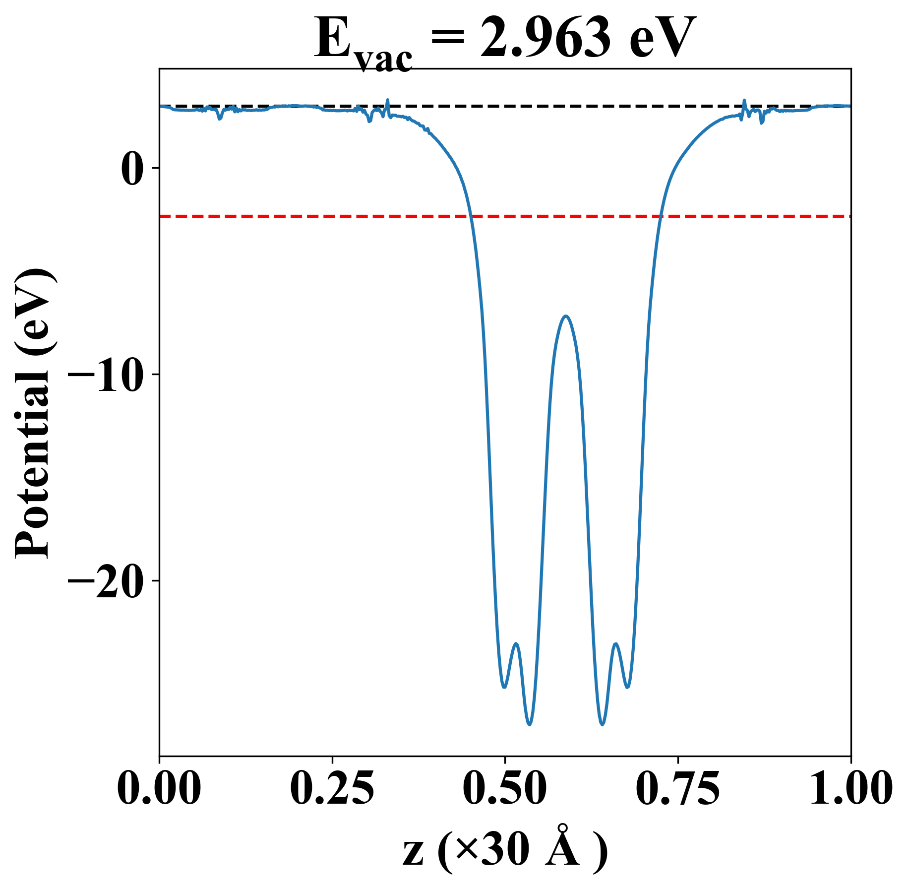
| Vacuum level |
2.963 eV |
| VBM |
-2.371 eV |
| CBM |
-2.369 eV |
| Work function |
5.333 eV |
| Direct gap |
No |
| Property |
Value |
| Band gap |
0.00 eV |
| E-fermi |
-2.370 eV |
| Vacuum level |
2.963 eV |
| VBM |
-2.371 eV |
| CBM |
-2.369 eV |
| Work function |
5.333 eV |
| Cij (N/m) |
xx |
yy |
xy |
| xx |
36.195 |
-4.336 |
-0.000 |
| yy |
-4.336 |
36.195 |
-0.000 |
| xy |
-0.000 |
-0.000 |
20.265 |
| Phonon mode at Γ point (THz) |
| -1.057 |
| -1.057 |
| -0.003 |
| -0.003 |
| -0.001 |
| 1.537 |
| 6.867 |
| 6.867 |
| 7.272 |
| 7.272 |
| 9.011 |
| 9.553 |
| Property |
Value |
| from where |
c2db-1701 |