S2Ti1
MatHub2d-1028-S2Ti1
| Property |
Value |
| Space group |
(187, 'P-6m2') |
| Crystal system |
hexagonal |
| Magnetic |
No |
| Band gap (PBE) (eV) |
1.13 |
| Free energy (eV) |
-16.501 |
| Free energy / atom (eV) |
-5.500 |
Lattice Parameters (basic)
| a, b, c (Å): | 3.345 | 3.345 | 30.000 |
| α, β, γ (°): | 90.000 | 90.000 | 120.000 |
Lattice Parameters (computed)
| a, b, c (Å): | 3.402 | 3.402 | 30.000 |
| α, β, γ (°): | 90.000 | 90.000 | 120.000 |
| Property |
Value |
| Band gap |
1.13 eV |
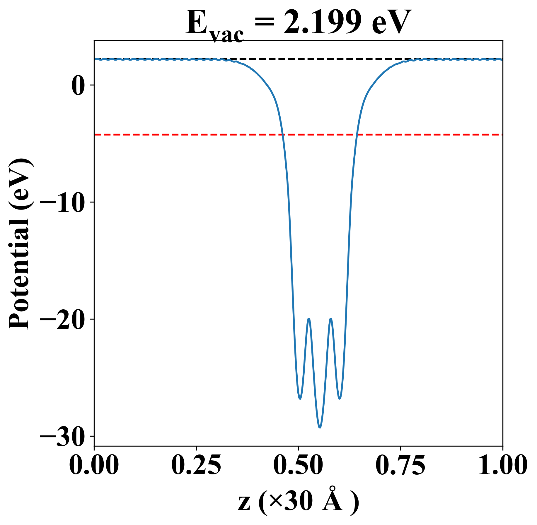
| E-fermi |
-4.241 eV |
| Vacuum level |
2.199 eV |
| VBM |
-4.620 eV |
| CBM |
-3.490 eV |
| Work function |
6.440 eV |
| Direct gap |
No |
| Property |
Value |
| Band gap |
1.12 eV |
| E-fermi |
-4.269 eV |
| VBM |
-4.619 eV |
| CBM |
-3.498 eV |
| Free energy (eV) |
-16.508 |
| Free energy / atom (eV) |
-5.503 |
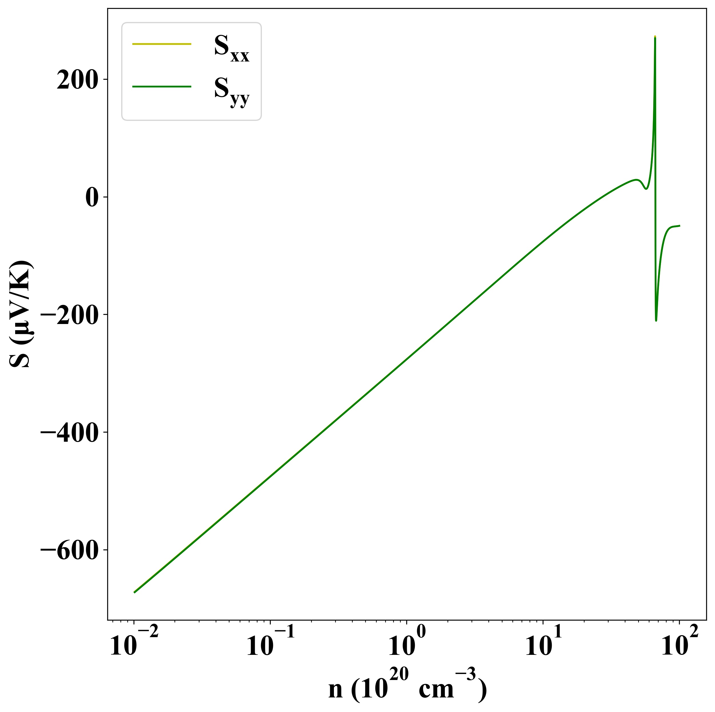
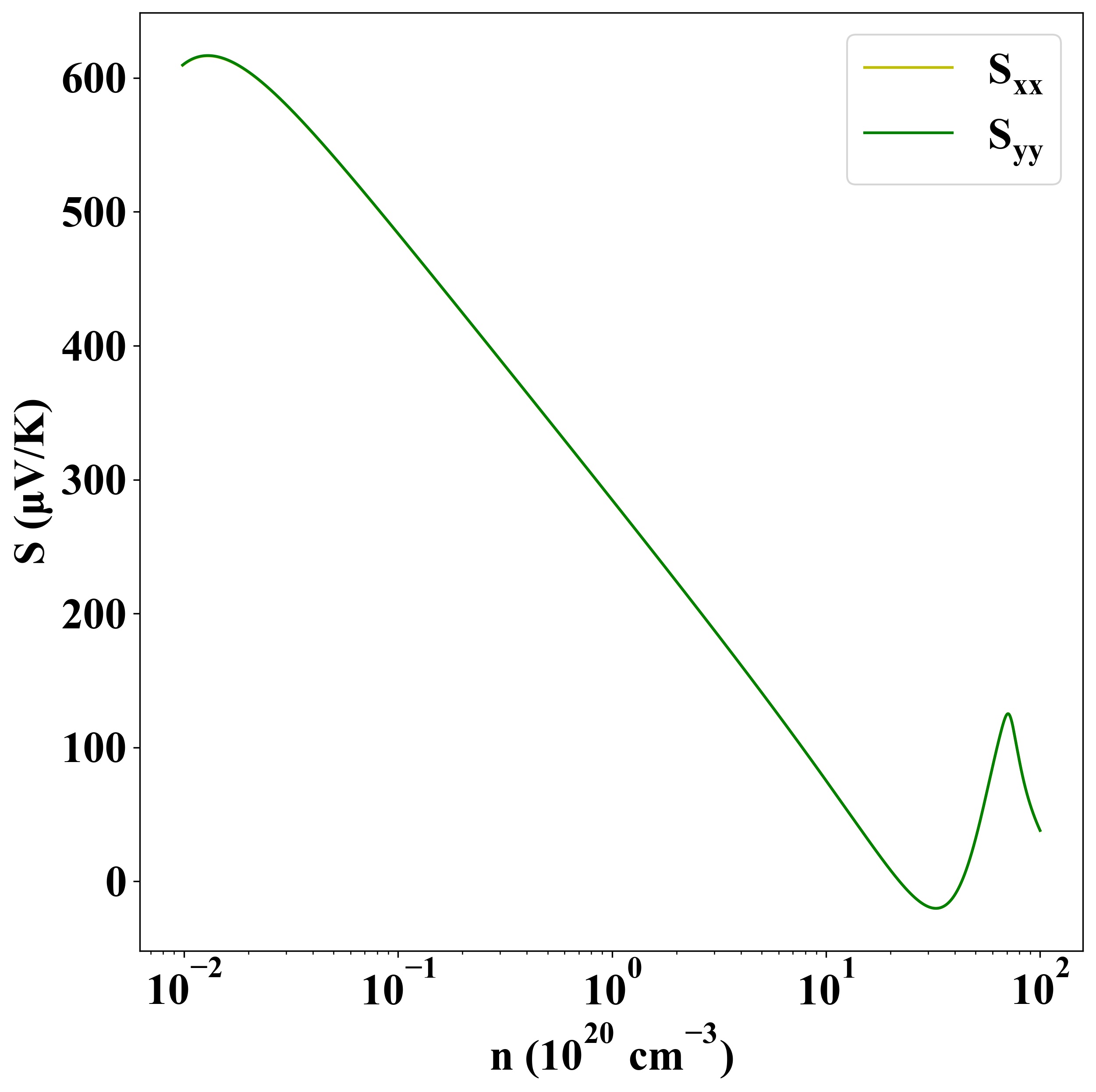
| Property |
Value |
| Band gap |
1.13 eV |
| E-fermi |
-4.241 eV |
| Vacuum level |
2.199 eV |
| VBM |
-4.620 eV |
| CBM |
-3.490 eV |
| Work function |
6.440 eV |
| Cij (N/m) |
xx |
yy |
xy |
| xx |
82.760 |
25.464 |
0.000 |
| yy |
25.464 |
82.760 |
0.000 |
| xy |
0.000 |
0.000 |
28.648 |
| Phonon mode at Γ point (THz) |
| -0.006 |
| -0.006 |
| -0.001 |
| 1.773 |
| 1.773 |
| 8.240 |
| 8.240 |
| 10.458 |
| 10.604 |
| Property |
Value |
| from where |
c2db-644 |