S2Ti1
MatHub2d-1027-S2Ti1
| Property |
Value |
| Space group |
(164, 'P-3m1') |
| Crystal system |
hexagonal |
| Magnetic |
No |
| Band gap (PBE) (eV) |
0.70 |
| Free energy (eV) |
-17.051 |
| Free energy / atom (eV) |
-5.684 |
Lattice Parameters (basic)
| a, b, c (Å): | 3.391 | 3.391 | 30.000 |
| α, β, γ (°): | 90.000 | 90.000 | 120.000 |
Lattice Parameters (computed)
| a, b, c (Å): | 3.477 | 3.477 | 30.000 |
| α, β, γ (°): | 90.000 | 90.000 | 120.000 |
| Property |
Value |
| Band gap |
0.70 eV |
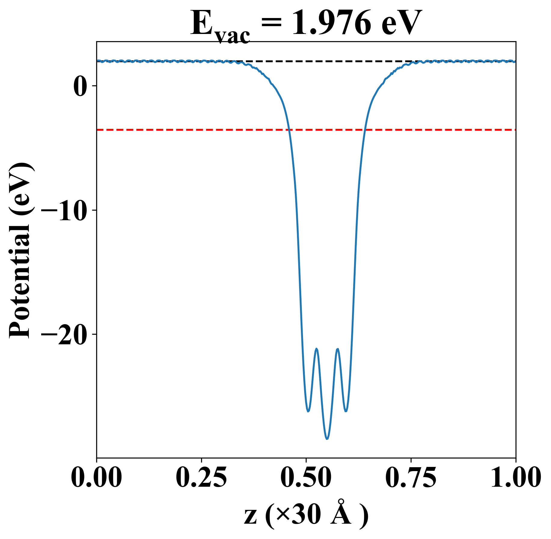
| E-fermi |
-3.561 eV |
| Vacuum level |
1.976 eV |
| VBM |
-3.852 eV |
| CBM |
-3.149 eV |
| Work function |
5.537 eV |
| Direct gap |
No |
| Property |
Value |
| Band gap |
0.70 eV |
| E-fermi |
-3.561 eV |
| Vacuum level |
1.976 eV |
| VBM |
-3.852 eV |
| CBM |
-3.149 eV |
| Work function |
5.537 eV |
| Cij (N/m) |
xx |
yy |
xy |
| xx |
70.755 |
14.196 |
-0.000 |
| yy |
14.196 |
70.755 |
-0.000 |
| xy |
-0.000 |
-0.000 |
28.279 |
| Phonon mode at Γ point (THz) |
| -0.022 |
| -0.022 |
| -0.004 |
| 2.436 |
| 2.436 |
| 6.686 |
| 6.686 |
| 9.174 |
| 10.571 |
| Property |
Value |
| from where |
shu-66 |