S2Ta2
MatHub2d-1026-S2Ta2
| Property |
Value |
| Space group |
(187, 'P-6m2') |
| Crystal system |
hexagonal |
| Magnetic |
Yes |
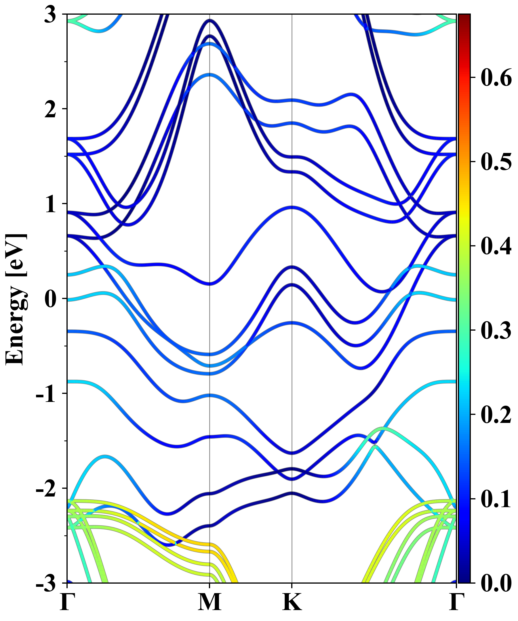
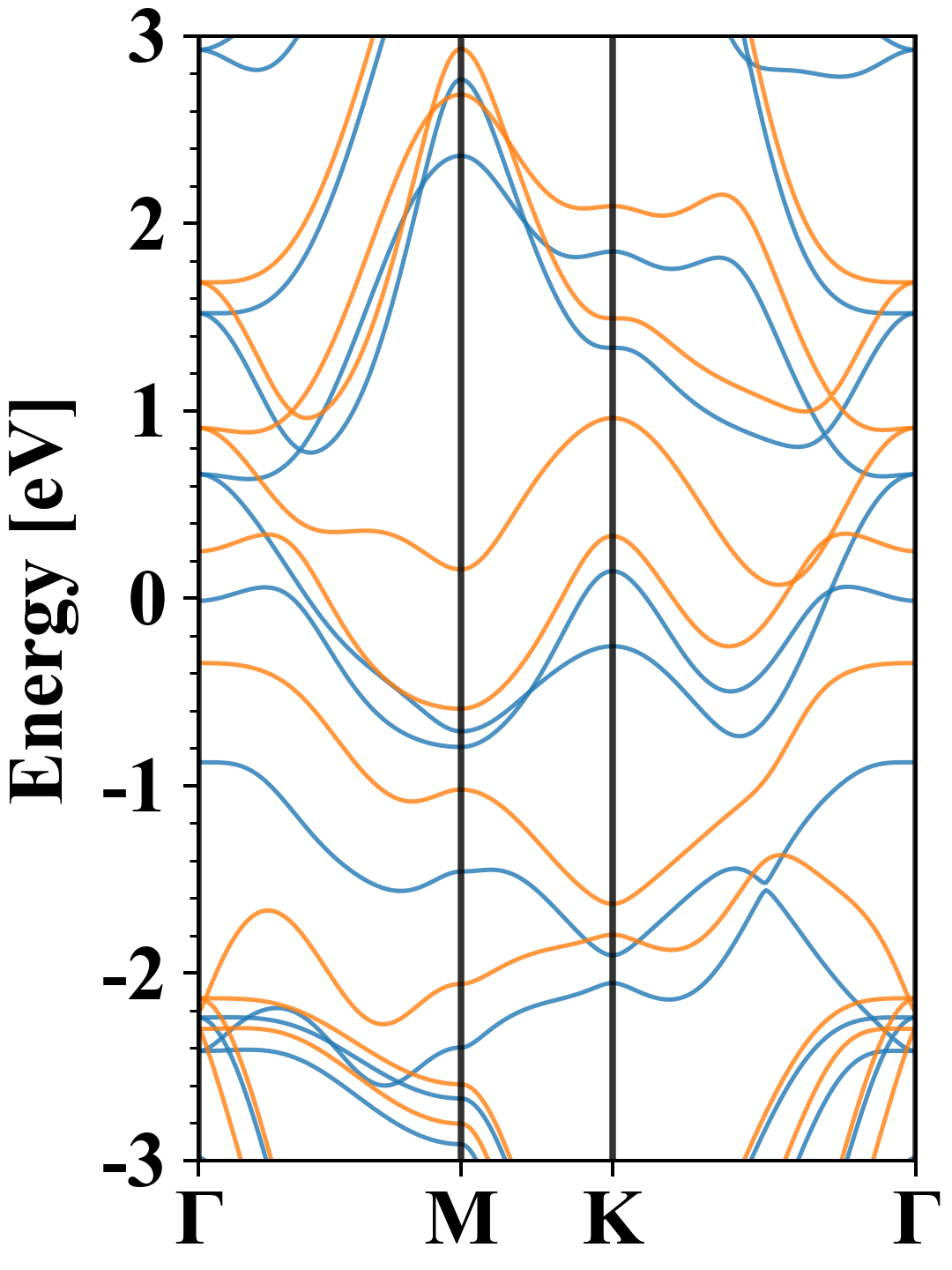
| Band gap (PBE) (eV) |
0.00 |
| Free energy (eV) |
-29.774 |
| Free energy / atom (eV) |
-7.444 |
Lattice Parameters (basic)
| a, b, c (Å): | 3.203 | 3.203 | 30.000 |
| α, β, γ (°): | 90.000 | 90.000 | 120.000 |
Lattice Parameters (computed)
| a, b, c (Å): | 3.239 | 3.239 | 30.000 |
| α, β, γ (°): | 90.000 | 90.000 | 120.000 |
| Property |
Value |
| Band gap |
0.00 eV |
| E-fermi |
-2.056 eV |
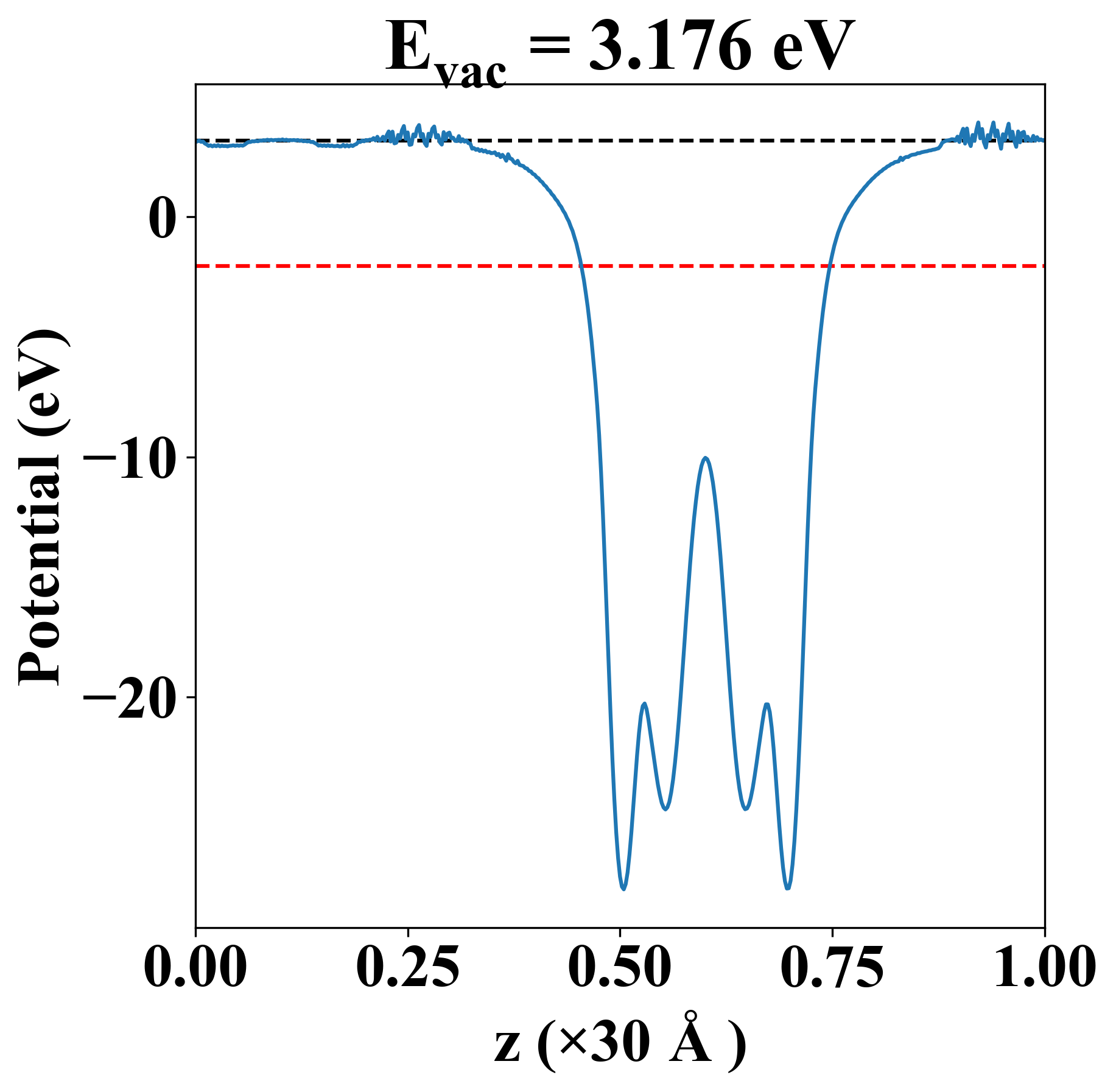
| Vacuum level |
3.176 eV |
| VBM |
-2.059 eV |
| CBM |
-2.056 eV |
| Work function |
5.232 eV |
| Direct gap |
No |
| Property |
Value |
| Band gap |
0.00 eV |
| E-fermi |
-2.056 eV |
| Vacuum level |
3.176 eV |
| VBM |
-2.059 eV |
| CBM |
-2.056 eV |
| Work function |
5.232 eV |
| Cij (N/m) |
xx |
yy |
xy |
| xx |
113.778 |
14.210 |
-0.000 |
| yy |
14.210 |
113.778 |
0.000 |
| xy |
-0.000 |
0.000 |
49.784 |
| Phonon mode at Γ point (THz) |
| -2.034 |
| -2.034 |
| -0.001 |
| -0.001 |
| -0.001 |
| 3.512 |
| 7.378 |
| 7.378 |
| 7.601 |
| 7.601 |
| 9.923 |
| 11.253 |
| Property |
Value |
| from where |
c2db-1695 |