S2Ta1
MatHub2d-1025-S2Ta1
| Property |
Value |
| Space group |
(164, 'P-3m1') |
| Crystal system |
hexagonal |
| Magnetic |
|
| Band gap (PBE) (eV) |
0.00 |
| Free energy (eV) |
-21.432 |
| Free energy / atom (eV) |
-7.144 |
Lattice Parameters (basic)
| a, b, c (Å): | 3.381 | 3.381 | 30.000 |
| α, β, γ (°): | 90.000 | 90.000 | 120.000 |
Lattice Parameters (computed)
| a, b, c (Å): | 3.399 | 3.399 | 30.000 |
| α, β, γ (°): | 90.000 | 90.000 | 120.000 |
| Property |
Value |
| Band gap |
0.00 eV |
| E-fermi |
-2.763 eV |
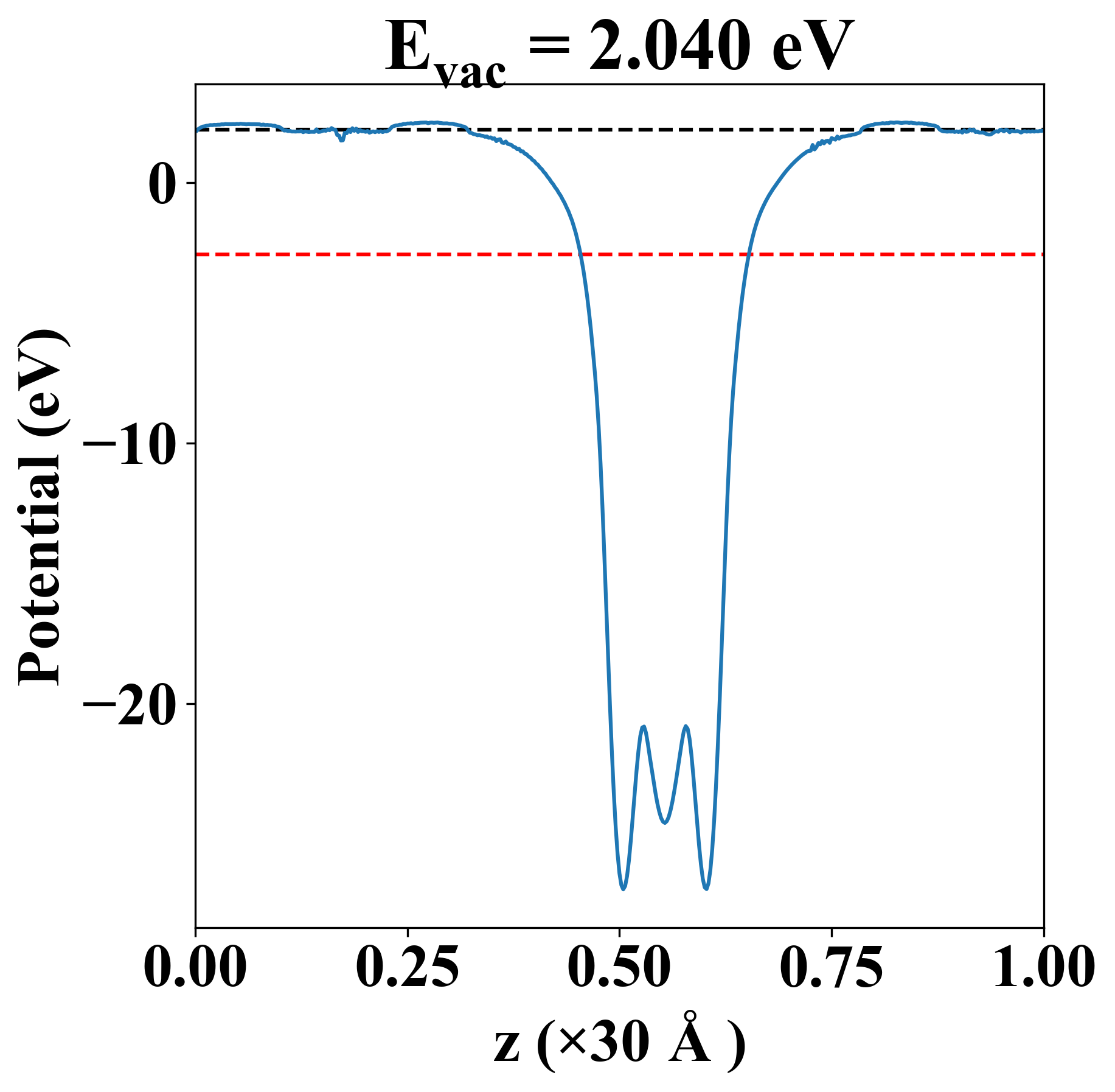
| Vacuum level |
2.040 eV |
| VBM |
-2.765 eV |
| CBM |
-2.761 eV |
| Work function |
4.803 eV |
| Direct gap |
No |
| Property |
Value |
| Band gap |
0.00 eV |
| E-fermi |
-2.763 eV |
| Vacuum level |
2.040 eV |
| VBM |
-2.765 eV |
| CBM |
-2.761 eV |
| Work function |
4.803 eV |
| Cij (N/m) |
xx |
yy |
xy |
| xx |
93.980 |
21.143 |
0.000 |
| yy |
21.143 |
93.980 |
0.000 |
| xy |
0.000 |
0.000 |
36.419 |
| Phonon mode at Γ point (THz) |
| -0.004 |
| -0.004 |
| -0.001 |
| 5.973 |
| 5.973 |
| 7.528 |
| 7.528 |
| 10.617 |
| 10.712 |
| Property |
Value |
| from where |
c2db-635 |