S2Ta1
MatHub2d-1024-S2Ta1
| Property |
Value |
| Space group |
(187, 'P-6m2') |
| Crystal system |
hexagonal |
| Magnetic |
Yes |
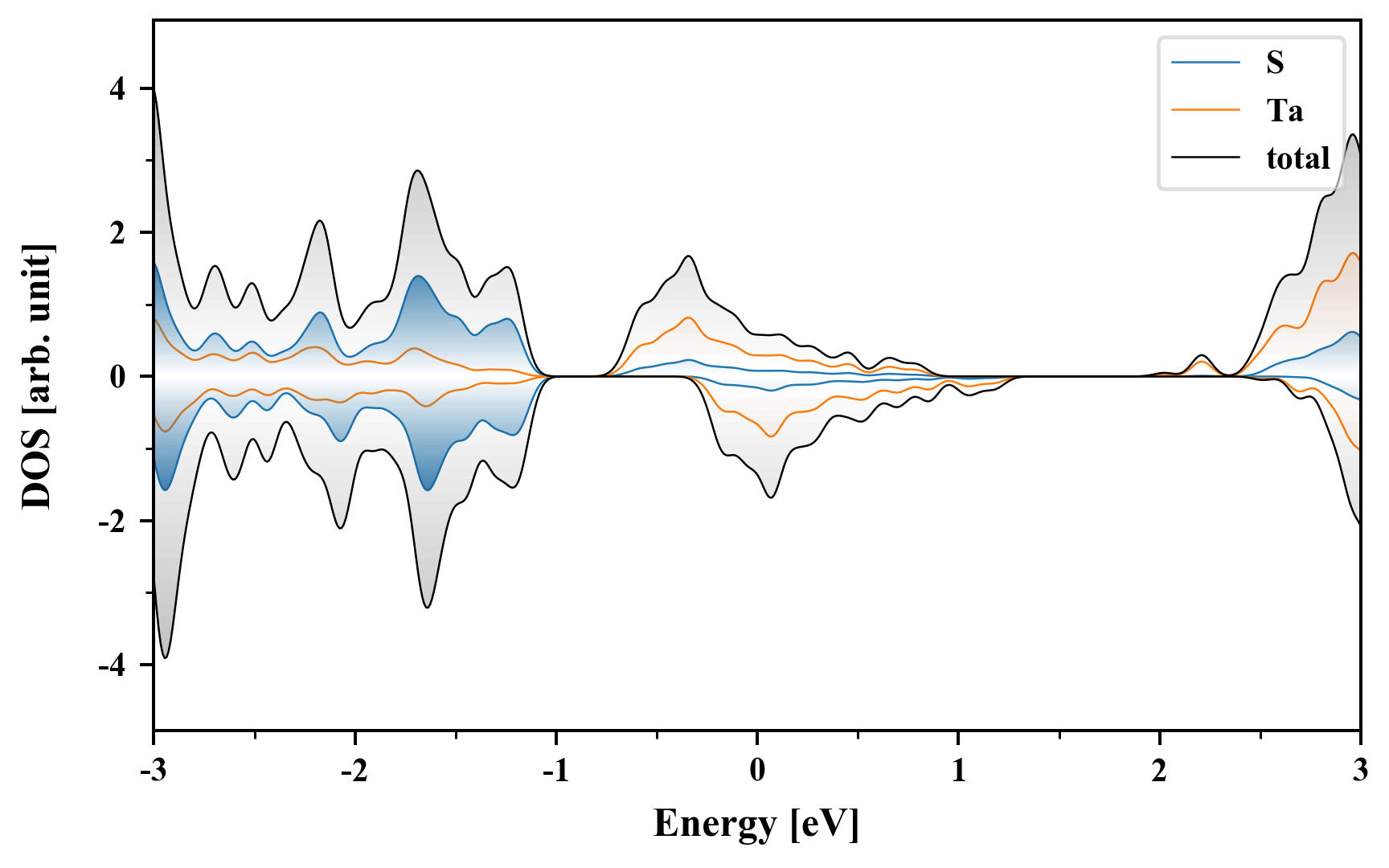
| Band gap (PBE) (eV) |
0.00 |
| Free energy (eV) |
-21.472 |
| Free energy / atom (eV) |
-7.157 |
Lattice Parameters (basic)
| a, b, c (Å): | 3.343 | 3.343 | 30.000 |
| α, β, γ (°): | 90.000 | 90.000 | 120.000 |
Lattice Parameters (computed)
| a, b, c (Å): | 3.365 | 3.365 | 30.000 |
| α, β, γ (°): | 90.000 | 90.000 | 120.000 |
| Property |
Value |
| Band gap |
0.00 eV |
| E-fermi |
-3.493 eV |
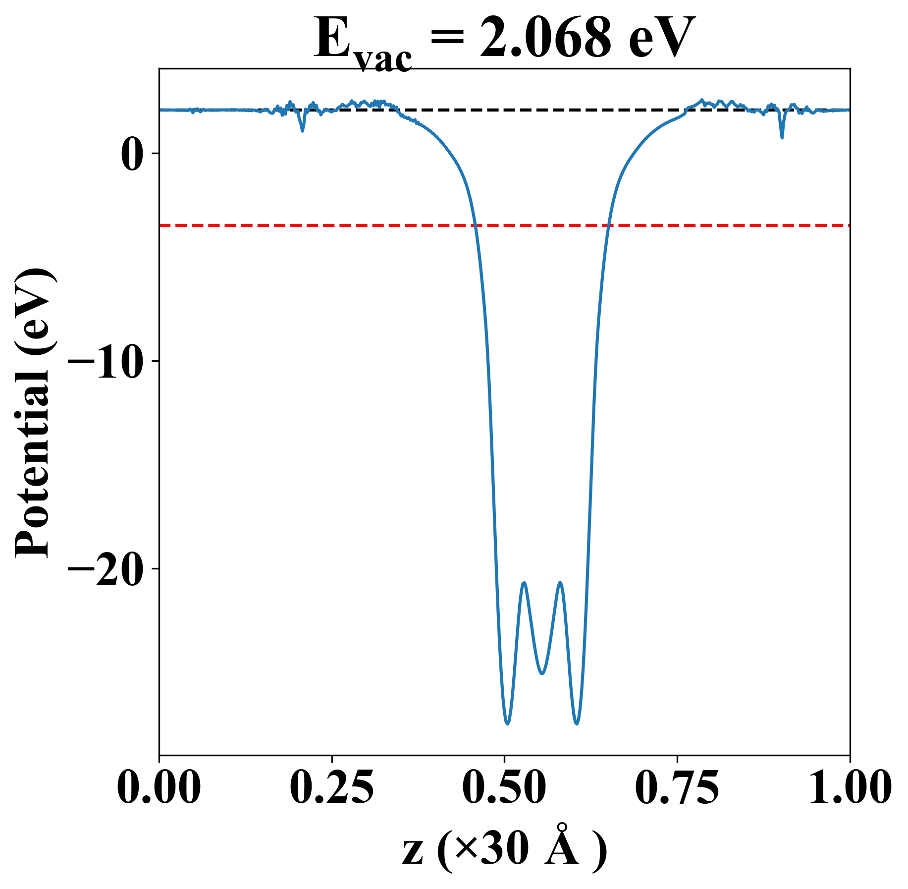
| Vacuum level |
2.068 eV |
| VBM |
-3.497 eV |
| CBM |
-3.487 eV |
| Work function |
5.561 eV |
| Direct gap |
No |
| Property |
Value |
| Band gap |
0.00 eV |
| E-fermi |
-3.493 eV |
| Vacuum level |
2.068 eV |
| VBM |
-3.497 eV |
| CBM |
-3.487 eV |
| Work function |
5.561 eV |
| Cij (N/m) |
xx |
yy |
xy |
| xx |
112.544 |
38.202 |
-0.000 |
| yy |
38.202 |
112.544 |
-0.000 |
| xy |
-0.000 |
-0.000 |
37.171 |
| Phonon mode at Γ point (THz) |
| -0.001 |
| -0.001 |
| -0.001 |
| 6.303 |
| 6.303 |
| 8.054 |
| 8.054 |
| 10.433 |
| 11.293 |
| Property |
Value |
| from where |
JVASP-6070 |