S2Sn2
MatHub2d-1023-S2Sn2
| Property |
Value |
| Space group |
(164, 'P-3m1') |
| Crystal system |
hexagonal |
| Magnetic |
No |
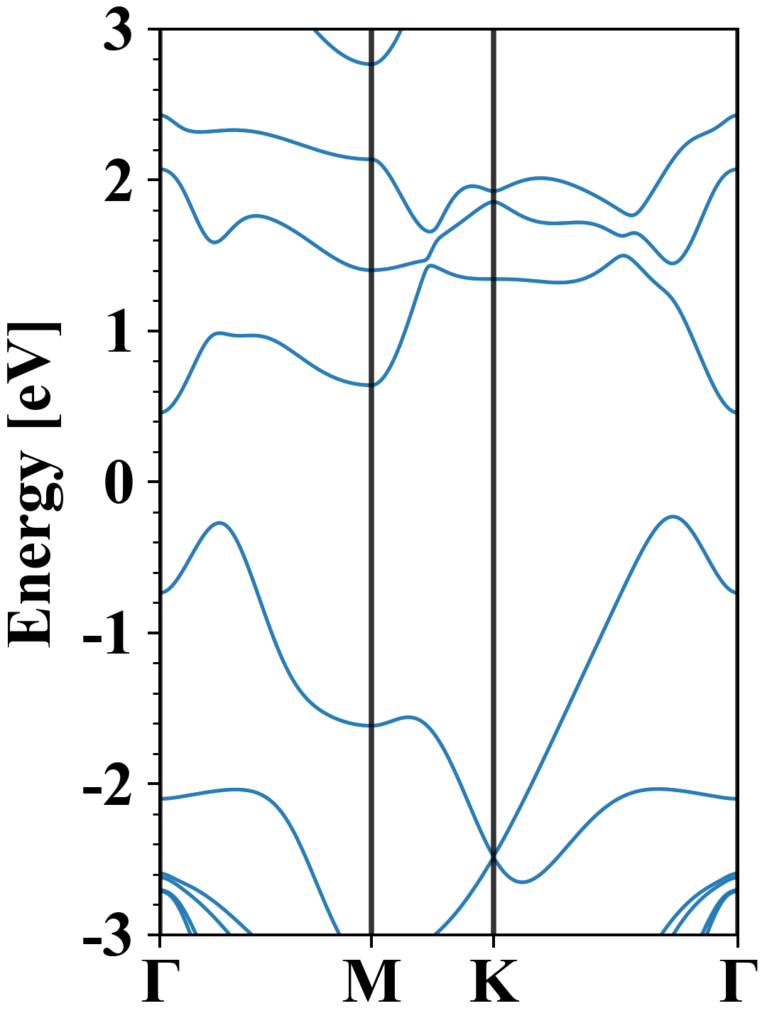
| Band gap (PBE) (eV) |
0.72 |
| Free energy (eV) |
-17.591 |
| Free energy / atom (eV) |
-4.398 |
Lattice Parameters (basic)
| a, b, c (Å): | 3.927 | 3.927 | 30.000 |
| α, β, γ (°): | 90.000 | 90.000 | 120.000 |
Lattice Parameters (computed)
| a, b, c (Å): | 3.914 | 3.914 | 30.000 |
| α, β, γ (°): | 90.000 | 90.000 | 120.000 |
| Property |
Value |
| Band gap |
0.72 eV |
| E-fermi |
-2.009 eV |
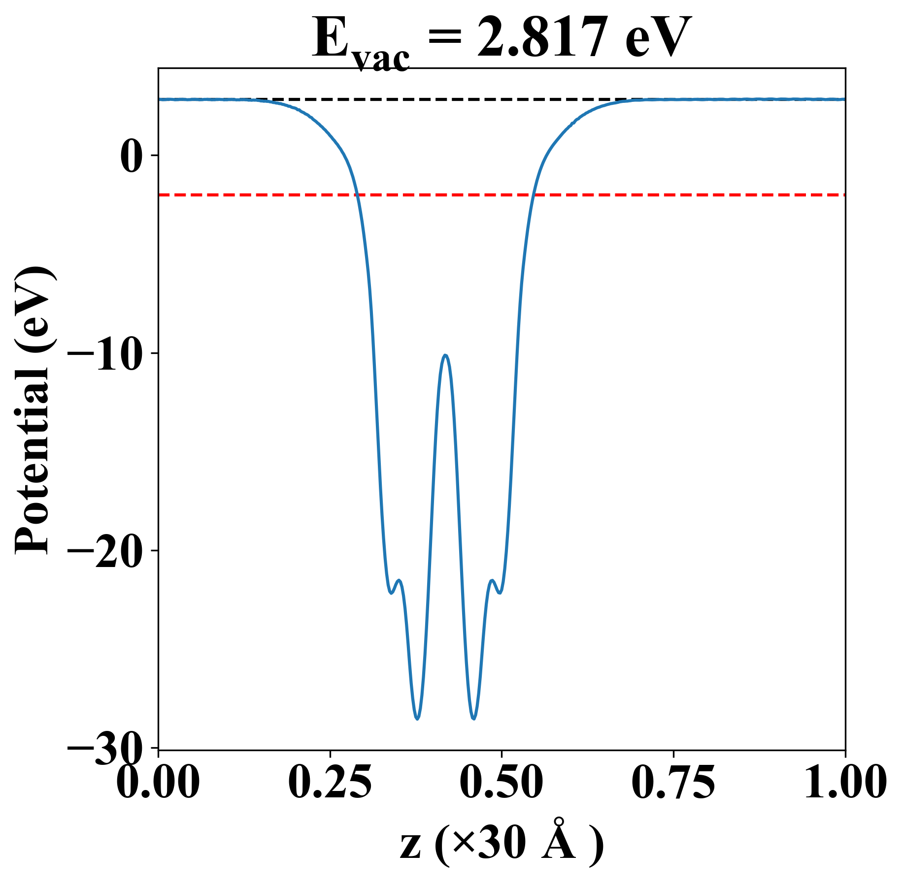
| Vacuum level |
2.817 eV |
| VBM |
-2.287 eV |
| CBM |
-1.572 eV |
| Work function |
4.827 eV |
| Direct gap |
No |
| Property |
Value |
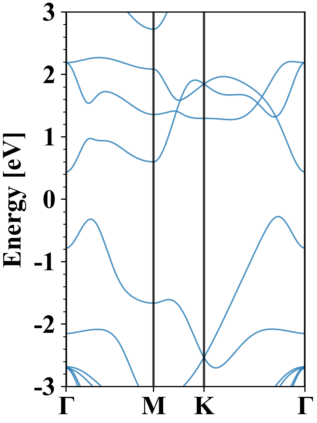
| Band gap |
0.69 eV |
| E-fermi |
-2.055 eV |
| VBM |
-2.285 eV |
| CBM |
-1.598 eV |
| Free energy (eV) |
-17.683 |
| Free energy / atom (eV) |
-4.421 |
| Property |
Value |
| Band gap |
0.72 eV |
| E-fermi |
-2.009 eV |
| Vacuum level |
2.817 eV |
| VBM |
-2.287 eV |
| CBM |
-1.572 eV |
| Work function |
4.827 eV |
| Cij (N/m) |
xx |
yy |
xy |
| xx |
57.693 |
21.314 |
-0.000 |
| yy |
21.314 |
57.693 |
0.000 |
| xy |
-0.000 |
0.000 |
18.189 |
| Phonon mode at Γ point (THz) |
| -0.017 |
| -0.017 |
| -0.010 |
| 1.982 |
| 1.982 |
| 2.357 |
| 6.042 |
| 6.042 |
| 6.353 |
| 6.353 |
| 8.042 |
| 8.541 |
| Carrier type |
C2D (N/m) |
Edef (eV) |
μ (cm2V-1s-1) |
| x |
y |
x |
y |
x |
y |
| hole |
59.26 |
62.43 |
-5.51 |
-4.73 |
-148.95 |
-212.71 |
| electron |
-6.62 |
-6.56 |
89.38 |
95.98 |
| Property |
Value |
| from where |
sz.tsinghua-96 |