S2Sc2
MatHub2d-1020-S2Sc2
| Property |
Value |
| Space group |
(187, 'P-6m2') |
| Crystal system |
hexagonal |
| Magnetic |
No |
| Band gap (PBE) (eV) |
0.64 |
| Free energy (eV) |
-23.326 |
| Free energy / atom (eV) |
-5.831 |
Lattice Parameters (basic)
| a, b, c (Å): | 3.770 | 3.770 | 30.000 |
| α, β, γ (°): | 90.000 | 90.000 | 120.000 |
Lattice Parameters (computed)
| a, b, c (Å): | 3.808 | 3.808 | 30.000 |
| α, β, γ (°): | 90.000 | 90.000 | 120.000 |
| Property |
Value |
| Band gap |
0.64 eV |
| E-fermi |
-2.637 eV |
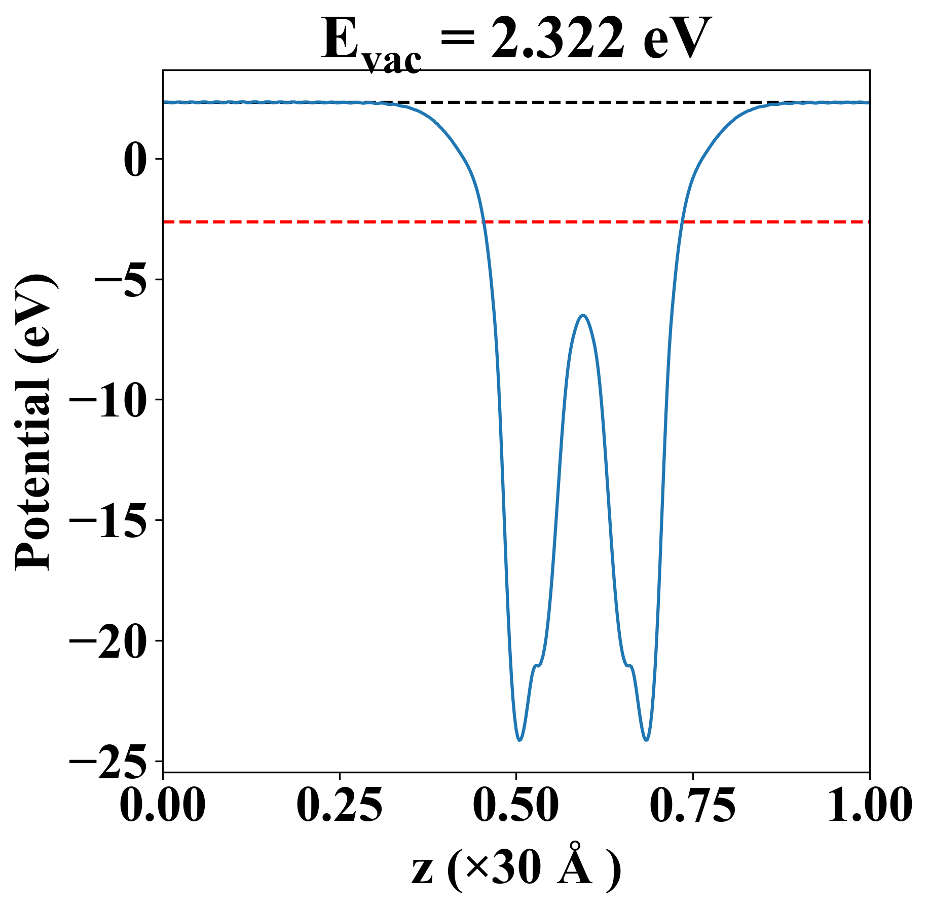
| Vacuum level |
2.322 eV |
| VBM |
-3.012 eV |
| CBM |
-2.374 eV |
| Work function |
4.959 eV |
| Direct gap |
No |
| Property |
Value |
| Band gap |
0.00 eV |
| E-fermi |
-2.176 eV |
| VBM |
-2.176 eV |
| CBM |
-2.175 eV |
| Free energy (eV) |
-22.371 |
| Free energy / atom (eV) |
-5.593 |
| Property |
Value |
| Band gap |
0.64 eV |
| E-fermi |
-2.637 eV |
| Vacuum level |
2.322 eV |
| VBM |
-3.012 eV |
| CBM |
-2.374 eV |
| Work function |
4.959 eV |
| Cij (N/m) |
xx |
yy |
xy |
| xx |
47.337 |
11.148 |
0.000 |
| yy |
11.148 |
47.337 |
-0.000 |
| xy |
0.000 |
-0.000 |
18.094 |
| Phonon mode at Γ point (THz) |
| -0.526 |
| -0.526 |
| -0.004 |
| -0.004 |
| -0.003 |
| 3.125 |
| 8.352 |
| 8.352 |
| 8.504 |
| 8.504 |
| 9.030 |
| 9.324 |
| Property |
Value |
| from where |
c2db-1691 |