S2Sc1
MatHub2d-1018-S2Sc1
| Property |
Value |
| Space group |
(164, 'P-3m1') |
| Crystal system |
hexagonal |
| Magnetic |
|
| Band gap (PBE) (eV) |
0.00 |
| Free energy (eV) |
-16.958 |
| Free energy / atom (eV) |
-5.653 |
Lattice Parameters (basic)
| a, b, c (Å): | 3.752 | 3.752 | 30.000 |
| α, β, γ (°): | 90.000 | 90.000 | 120.000 |
Lattice Parameters (computed)
| a, b, c (Å): | 3.824 | 3.824 | 30.000 |
| α, β, γ (°): | 90.000 | 90.000 | 120.000 |
| Property |
Value |
| Band gap |
0.00 eV |
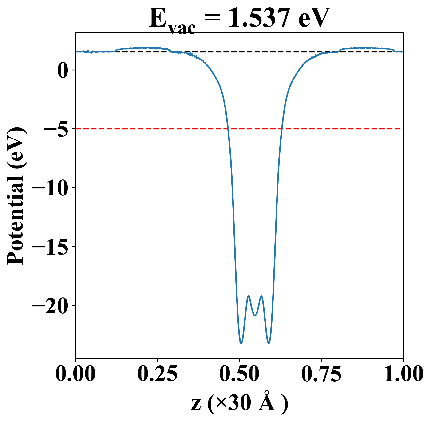
| E-fermi |
-5.001 eV |
| Vacuum level |
1.537 eV |
| VBM |
-5.002 eV |
| CBM |
-5.000 eV |
| Work function |
6.538 eV |
| Direct gap |
No |
| Property |
Value |
| Band gap |
0.00 eV |
| E-fermi |
-5.001 eV |
| Vacuum level |
1.537 eV |
| VBM |
-5.002 eV |
| CBM |
-5.000 eV |
| Work function |
6.538 eV |
| Cij (N/m) |
xx |
yy |
xy |
| xx |
29.995 |
13.309 |
-0.000 |
| yy |
13.309 |
29.995 |
-0.000 |
| xy |
-0.000 |
-0.000 |
8.343 |
| Phonon mode at Γ point (THz) |
| -0.003 |
| -0.003 |
| -0.002 |
| 5.518 |
| 5.518 |
| 6.993 |
| 7.443 |
| 7.443 |
| 8.571 |
| Property |
Value |
| from where |
c2db-1929 |