S1Sn1
MatHub2d-1017-S1Sn1
| Property |
Value |
| Space group |
(156, 'P3m1') |
| Crystal system |
hexagonal |
| Magnetic |
No |
| Band gap (PBE) (eV) |
2.25 |
| Free energy (eV) |
-8.679 |
| Free energy / atom (eV) |
-4.340 |
Lattice Parameters (basic)
| a, b, c (Å): | 3.752 | 3.752 | 30.000 |
| α, β, γ (°): | 90.000 | 90.000 | 120.000 |
Lattice Parameters (computed)
| a, b, c (Å): | 3.712 | 3.712 | 30.000 |
| α, β, γ (°): | 90.000 | 90.000 | 120.000 |
| Property |
Value |
| Band gap |
2.25 eV |
| E-fermi |
-4.325 eV |
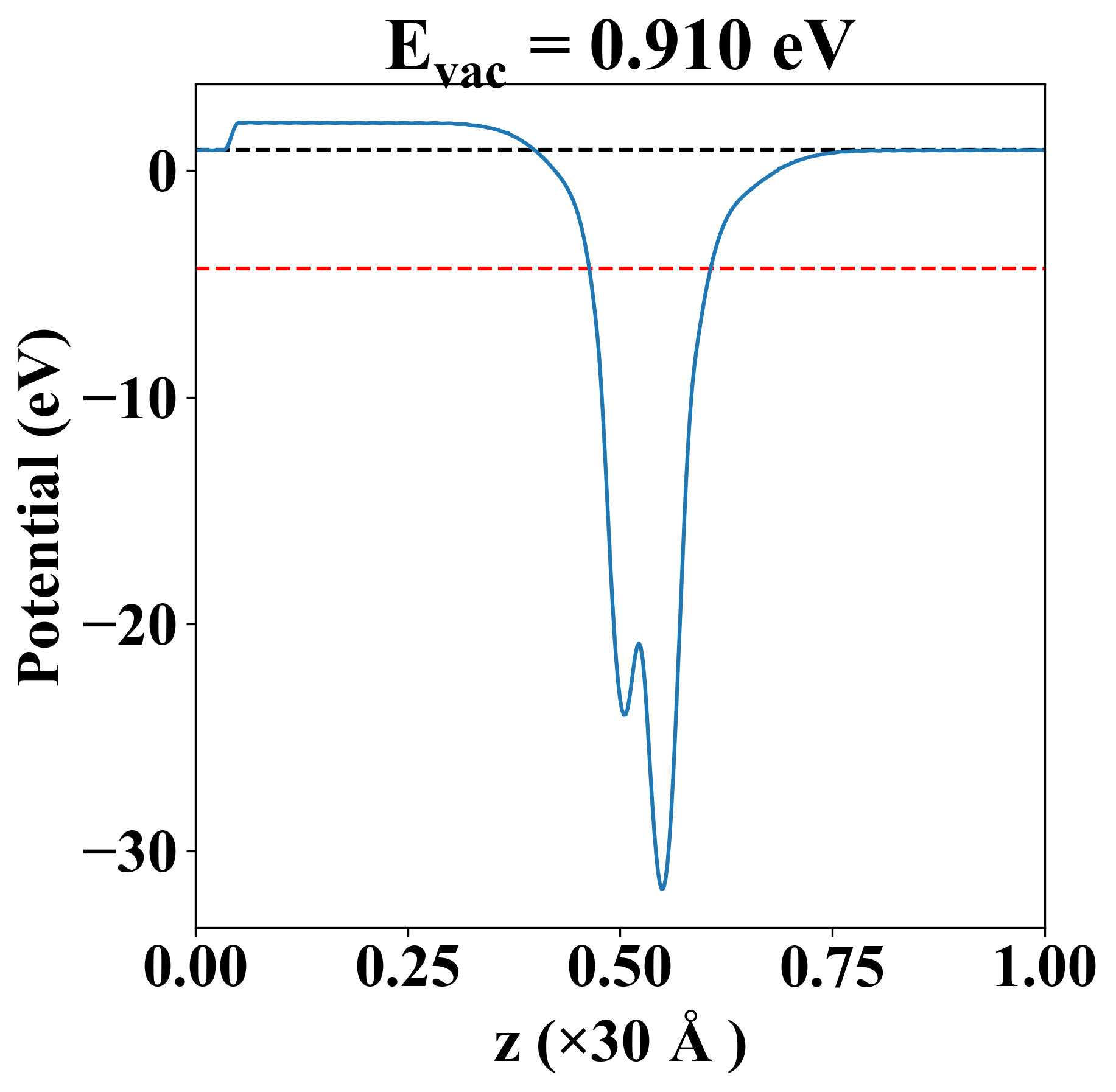
| Vacuum level |
0.910 eV |
| VBM |
-4.537 eV |
| CBM |
-2.290 eV |
| Work function |
5.235 eV |
| Direct gap |
No |
| Property |
Value |
| Band gap |
2.23 eV |
| E-fermi |
-4.262 eV |
| VBM |
-4.510 eV |
| CBM |
-2.278 eV |
| Free energy (eV) |
-8.726 |
| Free energy / atom (eV) |
-4.363 |
| Property |
Value |
| Band gap |
2.25 eV |
| E-fermi |
-4.325 eV |
| Vacuum level |
0.910 eV |
| VBM |
-4.537 eV |
| CBM |
-2.290 eV |
| Work function |
5.235 eV |
| Cij (N/m) |
xx |
yy |
xy |
| xx |
29.439 |
7.621 |
0.000 |
| yy |
7.621 |
29.439 |
-0.000 |
| xy |
0.000 |
-0.000 |
10.909 |
| Phonon mode at Γ point (THz) |
| -0.000 |
| 0.001 |
| 0.001 |
| 6.527 |
| 6.527 |
| 9.897 |
| Property |
Value |
| from where |
c2db-703 |