S1Se1W1
MatHub2d-1015-S1Se1W1
| Property |
Value |
| Space group |
(156, 'P3m1') |
| Crystal system |
hexagonal |
| Magnetic |
No |
| Band gap (PBE) (eV) |
1.65 |
| Free energy (eV) |
-19.993 |
| Free energy / atom (eV) |
-6.664 |
Lattice Parameters (basic)
| a, b, c (Å): | 3.252 | 3.252 | 30.000 |
| α, β, γ (°): | 90.000 | 90.000 | 120.000 |
Lattice Parameters (computed)
| a, b, c (Å): | 3.258 | 3.258 | 30.000 |
| α, β, γ (°): | 90.000 | 90.000 | 120.000 |
| Property |
Value |
| Band gap |
1.65 eV |
| E-fermi |
-2.948 eV |
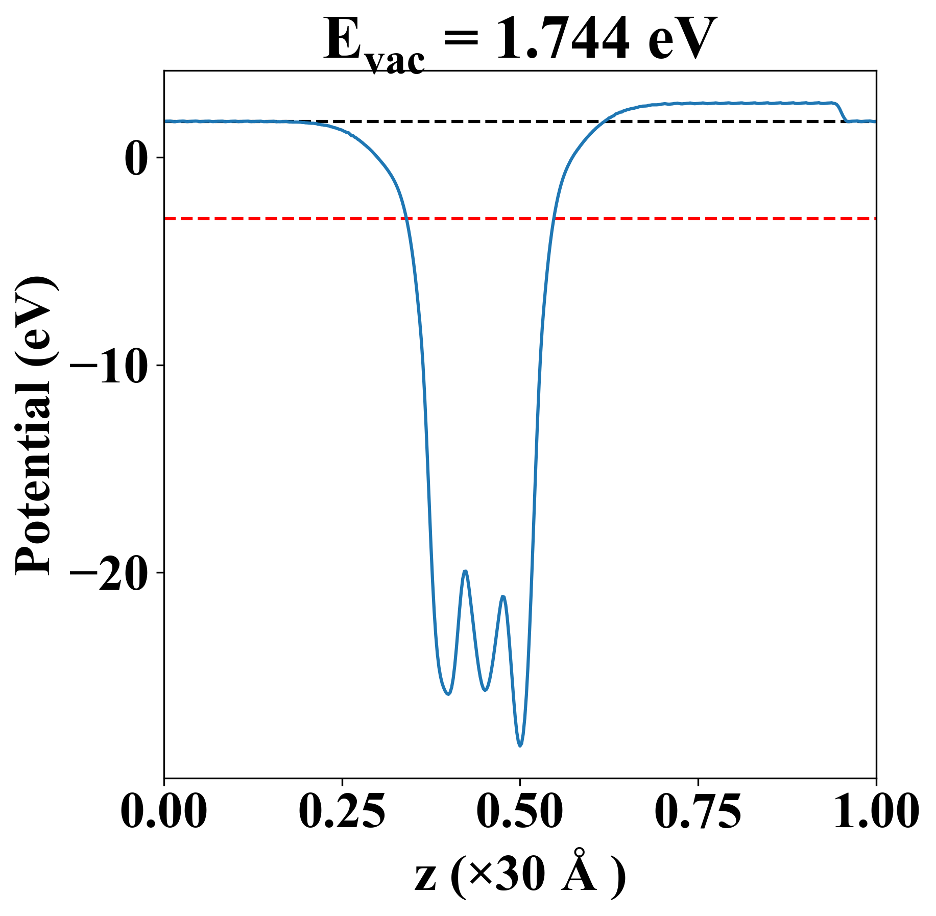
| Vacuum level |
1.744 eV |
| VBM |
-3.170 eV |
| CBM |
-1.523 eV |
| Work function |
4.692 eV |
| Direct gap |
Yes |
| Property |
Value |
| Band gap |
1.31 eV |
| E-fermi |
-2.647 eV |
| VBM |
-2.871 eV |
| CBM |
-1.557 eV |
| Free energy (eV) |
-20.186 |
| Free energy / atom (eV) |
-6.729 |
| Property |
Value |
| Band gap |
1.65 eV |
| E-fermi |
-2.948 eV |
| Vacuum level |
1.744 eV |
| VBM |
-3.170 eV |
| CBM |
-1.523 eV |
| Work function |
4.692 eV |
| Cij (N/m) |
xx |
yy |
xy |
| xx |
130.670 |
26.320 |
0.000 |
| yy |
26.320 |
130.670 |
0.000 |
| xy |
0.000 |
0.000 |
52.175 |
| Phonon mode at Γ point (THz) |
| -0.001 |
| -0.000 |
| -0.000 |
| 5.858 |
| 5.858 |
| 8.155 |
| 9.544 |
| 9.544 |
| 12.151 |
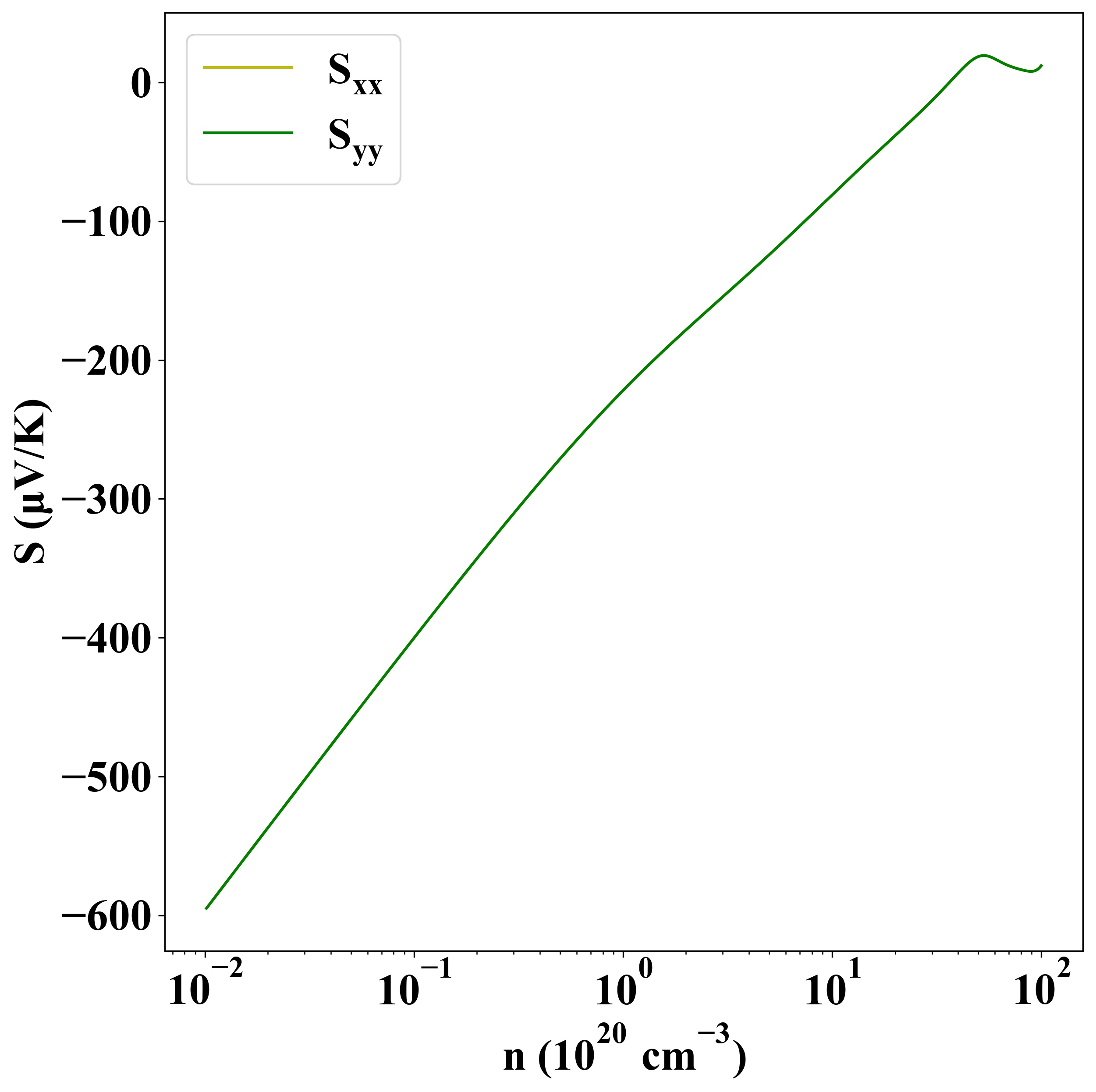
| Carrier type |
C2D (N/m) |
Edef (eV) |
μ (cm2V-1s-1) |
| x |
y |
x |
y |
x |
y |
| hole |
120.20 |
120.44 |
-3.63 |
-3.64 |
-150.55 |
-149.46 |
| electron |
-10.11 |
-10.13 |
8.80 |
8.79 |
| Property |
Value |
| from where |
c2db-1463 |