S1Se1V1
MatHub2d-1014-S1Se1V1
| Property |
Value |
| Space group |
(156, 'P3m1') |
| Crystal system |
hexagonal |
| Magnetic |
Yes |
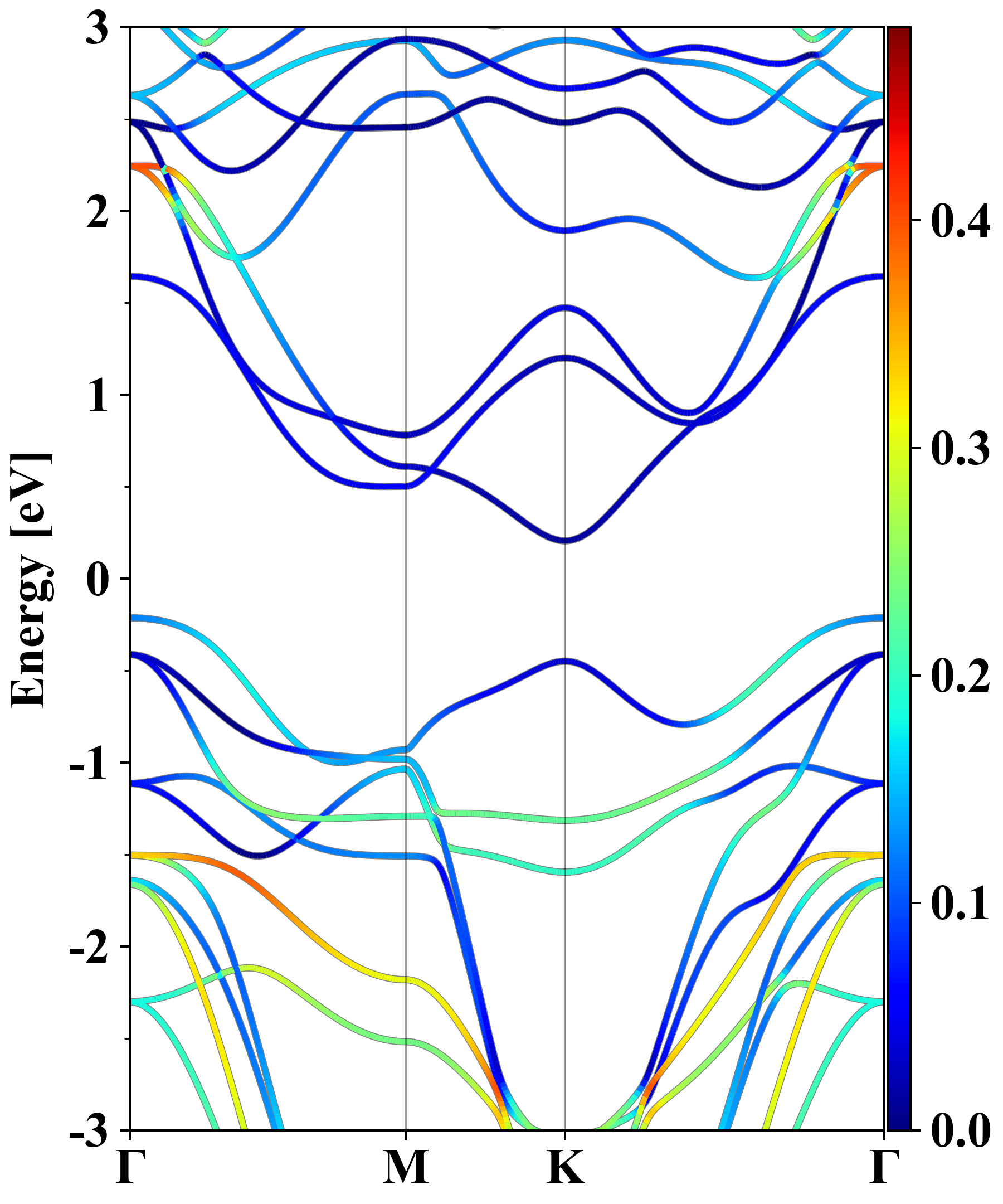
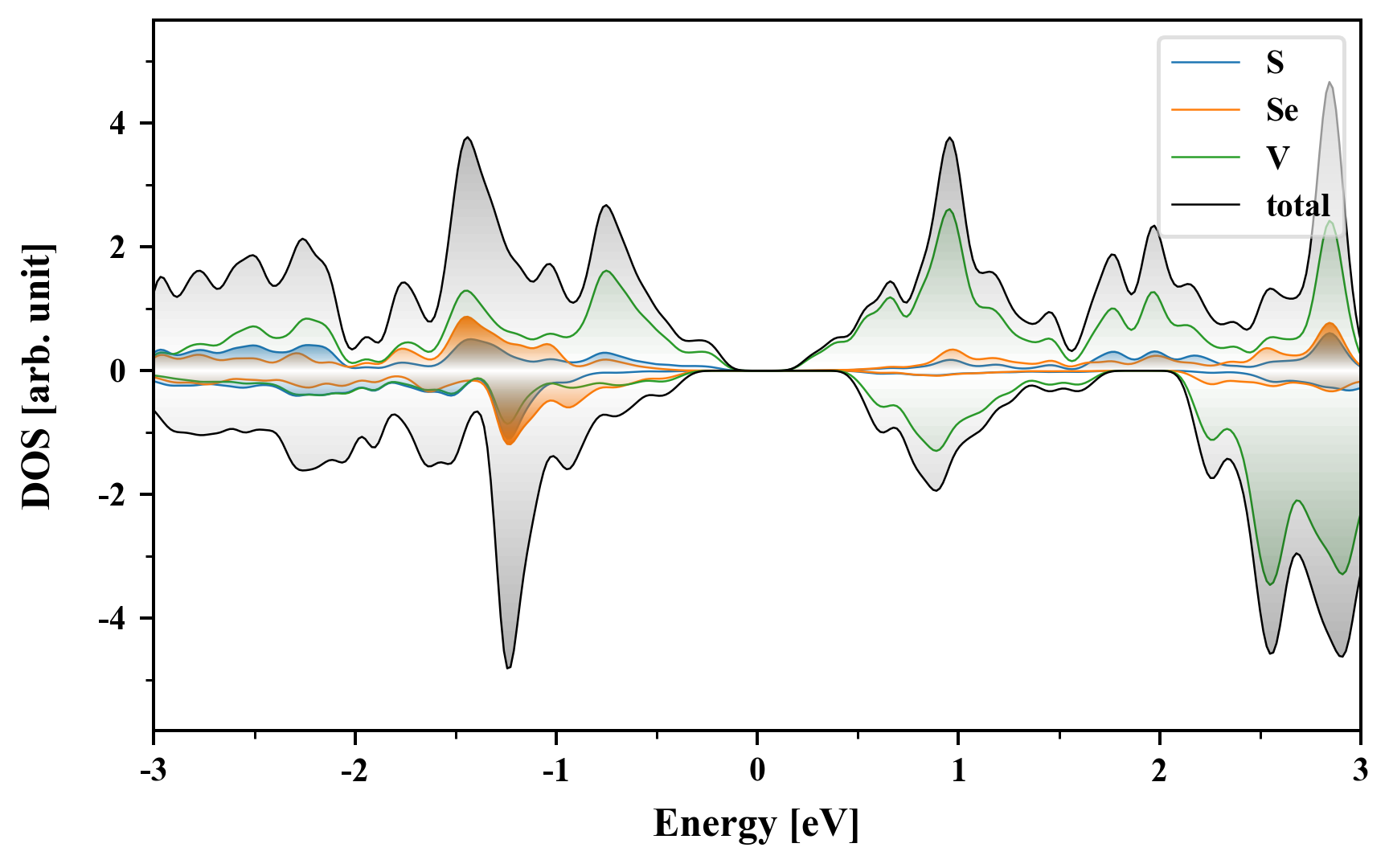
| Band gap (PBE) (eV) |
0.42 |
| Free energy (eV) |
-16.368 |
| Free energy / atom (eV) |
-5.456 |
Lattice Parameters (basic)
| a, b, c (Å): | 3.264 | 3.264 | 30.000 |
| α, β, γ (°): | 90.000 | 90.000 | 120.000 |
Lattice Parameters (computed)
| a, b, c (Å): | 3.294 | 3.294 | 30.000 |
| α, β, γ (°): | 90.000 | 90.000 | 120.000 |
| Property |
Value |
| Band gap |
0.42 eV |
| E-fermi |
-3.361 eV |
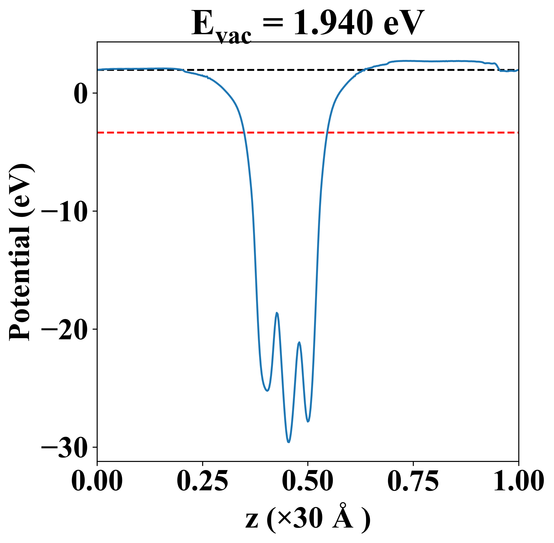
| Vacuum level |
1.940 eV |
| VBM |
-3.573 eV |
| CBM |
-3.155 eV |
| Work function |
5.301 eV |
| Direct gap |
No |
| Property |
Value |
| Band gap |
0.42 eV |
| E-fermi |
-3.339 eV |
| VBM |
-3.551 eV |
| CBM |
-3.136 eV |
| Free energy (eV) |
-16.400 |
| Free energy / atom (eV) |
-5.467 |
| Property |
Value |
| Band gap |
0.42 eV |
| E-fermi |
-3.361 eV |
| Vacuum level |
1.940 eV |
| VBM |
-3.573 eV |
| CBM |
-3.155 eV |
| Work function |
5.301 eV |
| Cij (N/m) |
xx |
yy |
xy |
| xx |
86.730 |
25.710 |
0.000 |
| yy |
25.710 |
86.730 |
0.000 |
| xy |
0.000 |
0.000 |
30.510 |
| Phonon mode at Γ point (THz) |
| -0.009 |
| -0.009 |
| -0.004 |
| 4.246 |
| 4.246 |
| 7.967 |
| 8.992 |
| 8.992 |
| 10.983 |
| Property |
Value |
| from where |
c2db-1462 |