S1Se1Ti1
MatHub2d-1013-S1Se1Ti1
| Property |
Value |
| Space group |
(156, 'P3m1') |
| Crystal system |
hexagonal |
| Magnetic |
No |
| Band gap (PBE) (eV) |
1.03 |
| Free energy (eV) |
-15.684 |
| Free energy / atom (eV) |
-5.228 |
Lattice Parameters (basic)
| a, b, c (Å): | 3.420 | 3.420 | 30.000 |
| α, β, γ (°): | 90.000 | 90.000 | 120.000 |
Lattice Parameters (computed)
| a, b, c (Å): | 3.476 | 3.476 | 30.000 |
| α, β, γ (°): | 90.000 | 90.000 | 120.000 |
| Property |
Value |
| Band gap |
1.03 eV |
| E-fermi |
-4.023 eV |
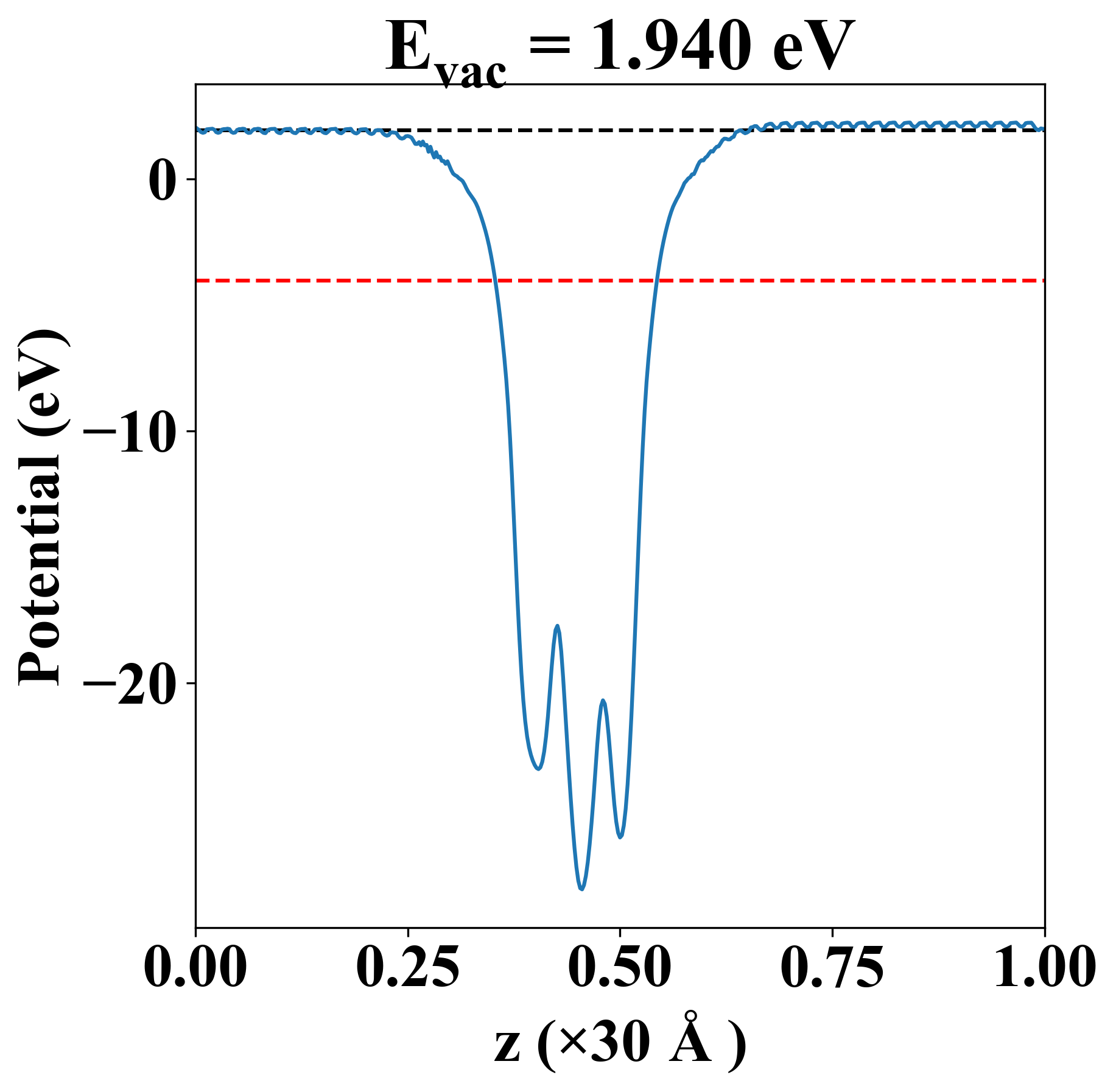
| Vacuum level |
1.940 eV |
| VBM |
-4.278 eV |
| CBM |
-3.253 eV |
| Work function |
5.963 eV |
| Direct gap |
No |
| Property |
Value |
| Band gap |
0.94 eV |
| E-fermi |
-3.960 eV |
| VBM |
-4.211 eV |
| CBM |
-3.270 eV |
| Free energy (eV) |
-15.708 |
| Free energy / atom (eV) |
-5.236 |
| Property |
Value |
| Band gap |
1.03 eV |
| E-fermi |
-4.023 eV |
| Vacuum level |
1.940 eV |
| VBM |
-4.278 eV |
| CBM |
-3.253 eV |
| Work function |
5.963 eV |
| Cij (N/m) |
xx |
yy |
xy |
| xx |
75.193 |
22.990 |
0.000 |
| yy |
22.990 |
75.193 |
-0.000 |
| xy |
0.000 |
-0.000 |
26.102 |
| Phonon mode at Γ point (THz) |
| -0.004 |
| -0.004 |
| -0.001 |
| 2.182 |
| 2.182 |
| 7.538 |
| 7.538 |
| 7.766 |
| 10.107 |
| Property |
Value |
| from where |
c2db-1461 |