S1Se1Ta1
MatHub2d-1012-S1Se1Ta1
| Property |
Value |
| Space group |
(156, 'P3m1') |
| Crystal system |
hexagonal |
| Magnetic |
Yes |
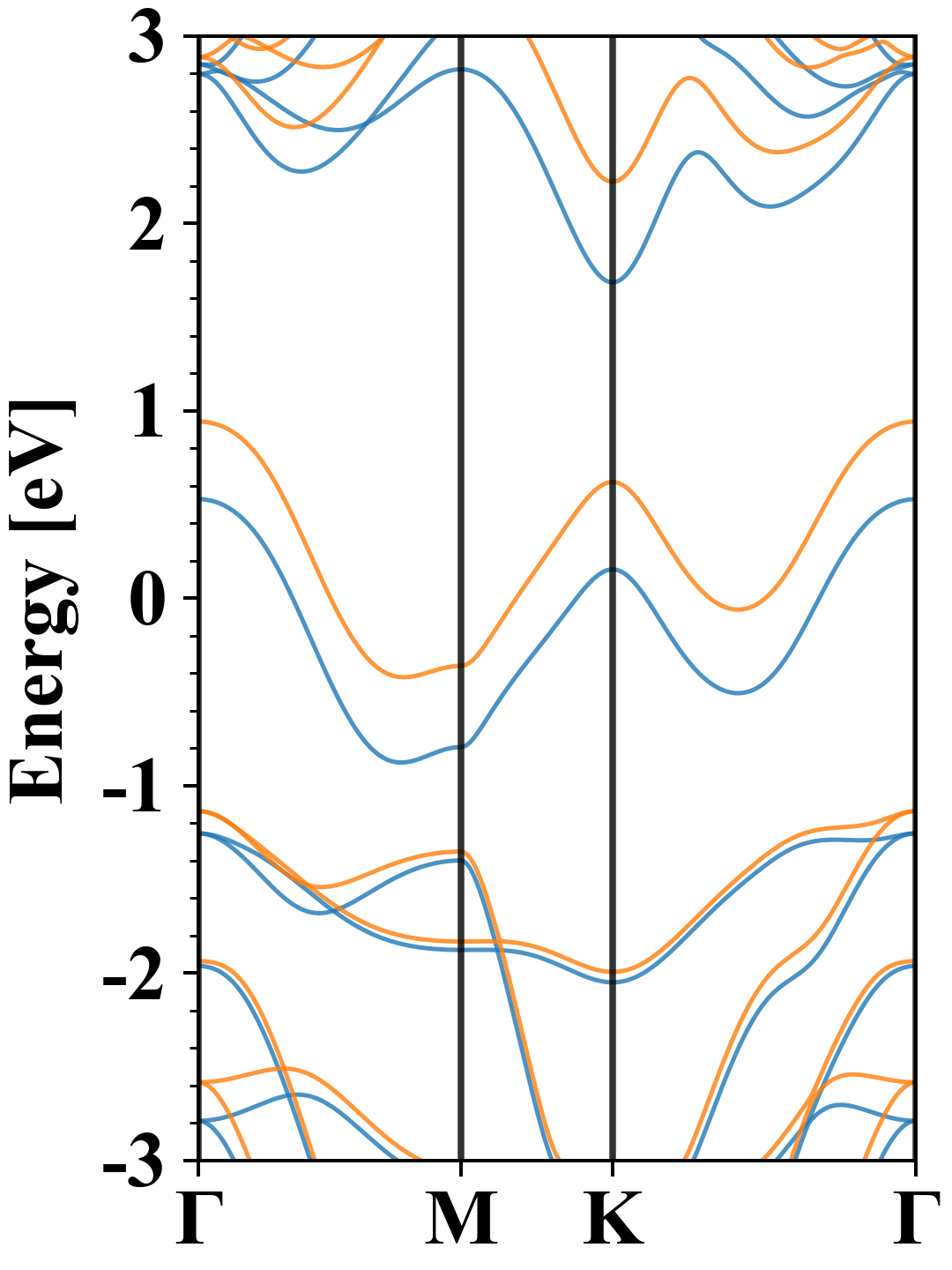
| Band gap (PBE) (eV) |
0.00 |
| Free energy (eV) |
-20.492 |
| Free energy / atom (eV) |
-6.831 |
Lattice Parameters (basic)
| a, b, c (Å): | 3.408 | 3.408 | 30.000 |
| α, β, γ (°): | 90.000 | 90.000 | 120.000 |
Lattice Parameters (computed)
| a, b, c (Å): | 3.429 | 3.429 | 30.000 |
| α, β, γ (°): | 90.000 | 90.000 | 120.000 |
| Property |
Value |
| Band gap |
0.00 eV |
| E-fermi |
-3.259 eV |
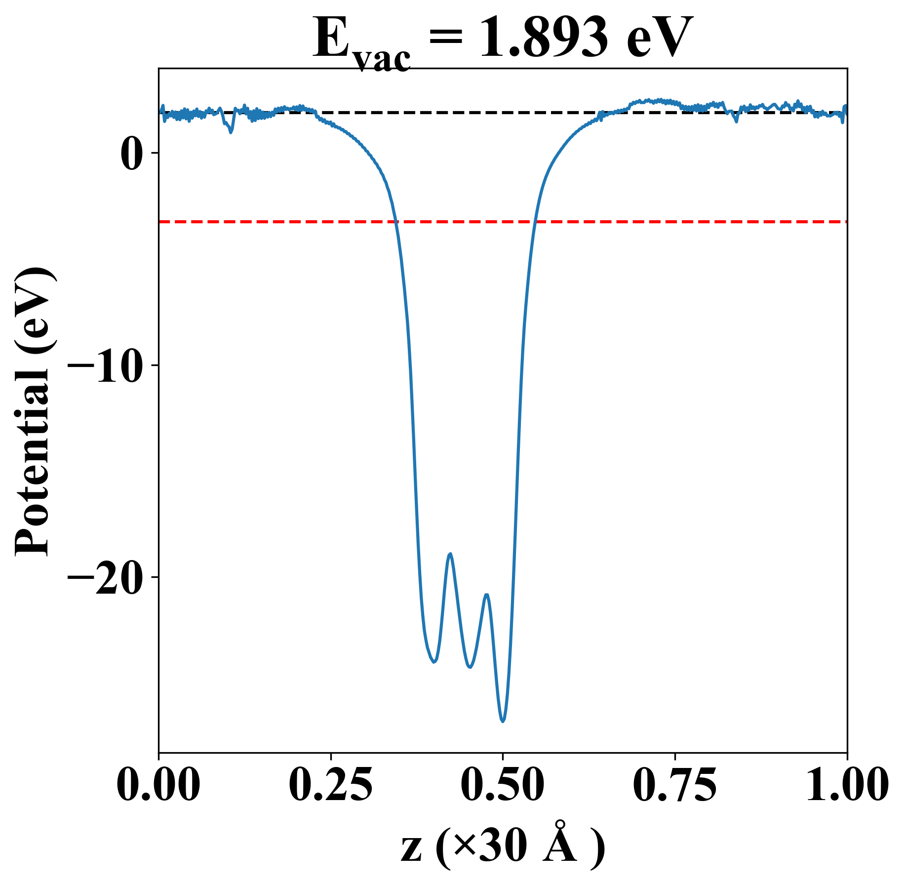
| Vacuum level |
1.893 eV |
| VBM |
-3.261 eV |
| CBM |
-3.257 eV |
| Work function |
5.152 eV |
| Direct gap |
No |
| Property |
Value |
| Band gap |
0.00 eV |
| E-fermi |
-3.259 eV |
| Vacuum level |
1.893 eV |
| VBM |
-3.261 eV |
| CBM |
-3.257 eV |
| Work function |
5.152 eV |
| Cij (N/m) |
xx |
yy |
xy |
| xx |
103.666 |
33.677 |
0.000 |
| yy |
33.677 |
103.666 |
-0.000 |
| xy |
0.000 |
-0.000 |
34.995 |
| Phonon mode at Γ point (THz) |
| -0.001 |
| -0.000 |
| -0.000 |
| 4.492 |
| 4.492 |
| 7.256 |
| 7.256 |
| 7.390 |
| 10.352 |
| Property |
Value |
| from where |
c2db-1460 |