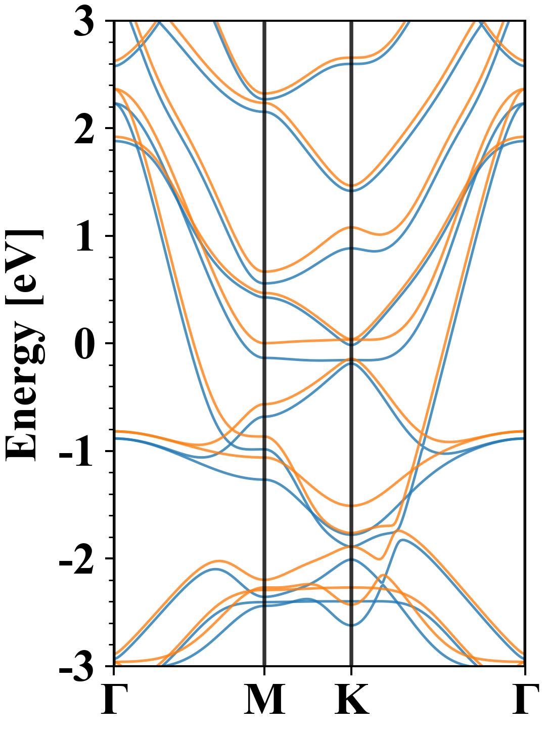
Ru2Te2
MatHub2d-1011-Ru2Te2
| Property |
Value |
| Space group |
(187, 'P-6m2') |
| Crystal system |
hexagonal |
| Magnetic |
Yes |
| Band gap (PBE) (eV) |
0.00 |
| Free energy (eV) |
-16.523 |
| Free energy / atom (eV) |
-4.131 |
Lattice Parameters (basic)
| a, b, c (Å): | 4.100 | 4.100 | 30.000 |
| α, β, γ (°): | 90.000 | 90.000 | 120.000 |
Lattice Parameters (computed)
| a, b, c (Å): | 4.102 | 4.102 | 30.000 |
| α, β, γ (°): | 90.000 | 90.000 | 120.000 |
| Property |
Value |
| Band gap |
0.00 eV |
| E-fermi |
-1.782 eV |
| Vacuum level |
2.636 eV |
| VBM |
-1.783 eV |
| CBM |
-1.782 eV |
| Work function |
4.419 eV |
| Direct gap |
No |
| Property |
Value |
| Band gap |
0.00 eV |
| E-fermi |
-1.782 eV |
| Vacuum level |
2.636 eV |
| VBM |
-1.783 eV |
| CBM |
-1.782 eV |
| Work function |
4.419 eV |
| Cij (N/m) |
xx |
yy |
xy |
| xx |
52.684 |
37.473 |
0.000 |
| yy |
37.473 |
52.684 |
-0.000 |
| xy |
0.000 |
-0.000 |
7.605 |
| Phonon mode at Γ point (THz) |
| -0.002 |
| -0.002 |
| -0.000 |
| 1.054 |
| 1.054 |
| 3.267 |
| 4.739 |
| 6.991 |
| 6.991 |
| 6.996 |
| 6.996 |
| 9.046 |
| Property |
Value |
| from where |
c2db-1689 |