Ru2S2
MatHub2d-1009-Ru2S2
| Property |
Value |
| Space group |
(187, 'P-6m2') |
| Crystal system |
hexagonal |
| Magnetic |
|
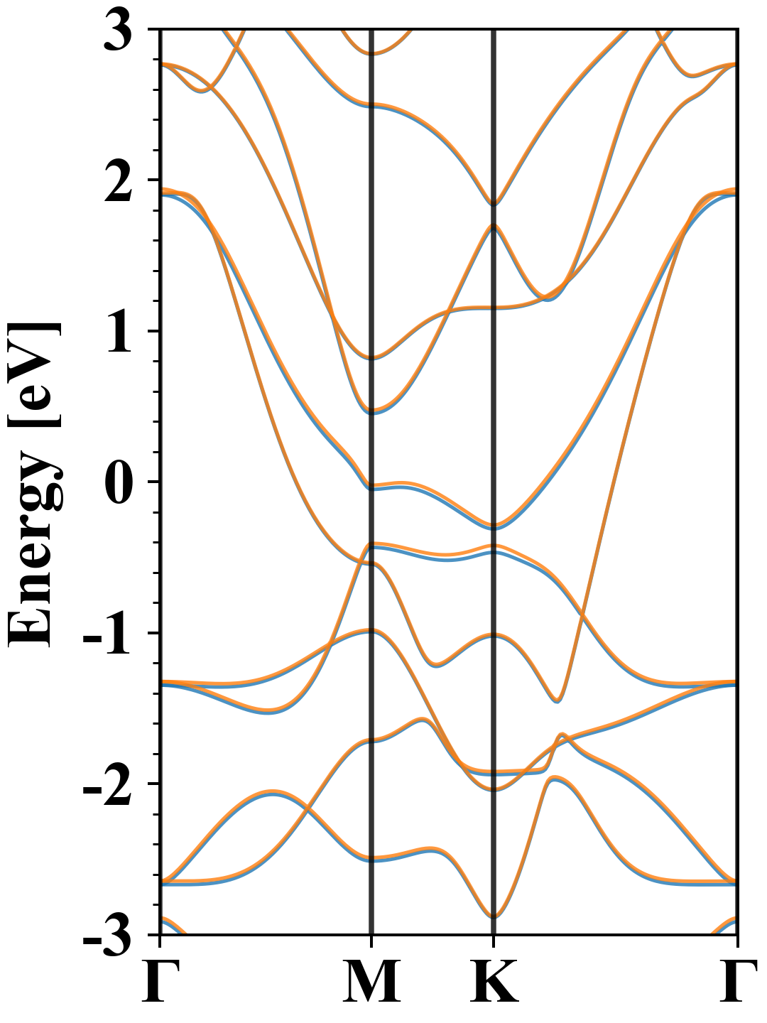
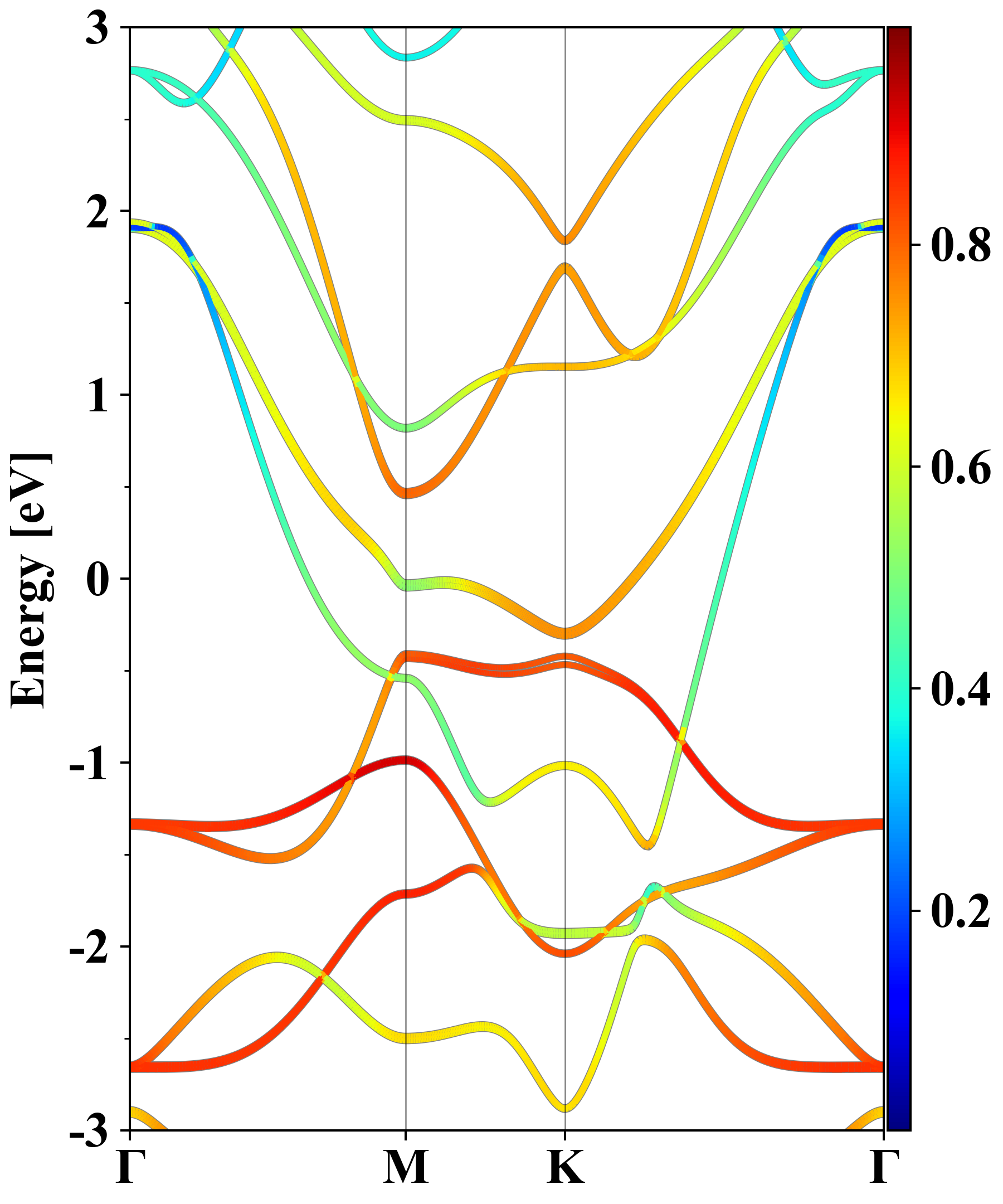
| Band gap (PBE) (eV) |
0.00 |
| Free energy (eV) |
-20.243 |
| Free energy / atom (eV) |
-5.061 |
Lattice Parameters (basic)
| a, b, c (Å): | 3.496 | 3.496 | 30.000 |
| α, β, γ (°): | 90.000 | 90.000 | 120.000 |
Lattice Parameters (computed)
| a, b, c (Å): | 3.486 | 3.486 | 30.000 |
| α, β, γ (°): | 90.000 | 90.000 | 120.000 |
| Property |
Value |
| Band gap |
0.00 eV |
| E-fermi |
-2.155 eV |
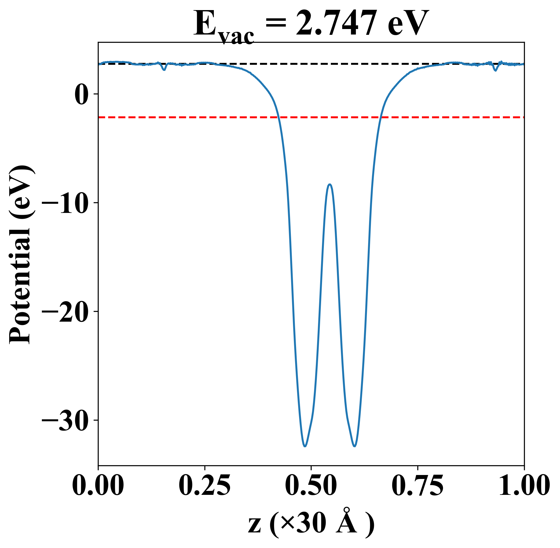
| Vacuum level |
2.747 eV |
| VBM |
-2.156 eV |
| CBM |
-2.154 eV |
| Work function |
4.903 eV |
| Direct gap |
No |
| Property |
Value |
| Band gap |
0.00 eV |
| E-fermi |
-2.155 eV |
| Vacuum level |
2.747 eV |
| VBM |
-2.156 eV |
| CBM |
-2.154 eV |
| Work function |
4.903 eV |
| Cij (N/m) |
xx |
yy |
xy |
| xx |
102.300 |
44.463 |
-0.000 |
| yy |
44.463 |
102.300 |
0.000 |
| xy |
-0.000 |
0.000 |
28.919 |
| Phonon mode at Γ point (THz) |
| -0.001 |
| -0.001 |
| 0.001 |
| 0.575 |
| 0.575 |
| 5.461 |
| 8.737 |
| 11.190 |
| 11.820 |
| 11.820 |
| 12.004 |
| 12.004 |
| Property |
Value |
| from where |
c2db-1687 |