Ru1Te2
MatHub2d-1008-Ru1Te2
| Property |
Value |
| Space group |
(187, 'P-6m2') |
| Crystal system |
hexagonal |
| Magnetic |
Yes |
| Band gap (PBE) (eV) |
0.00 |
| Free energy (eV) |
-12.266 |
| Free energy / atom (eV) |
-4.089 |
Lattice Parameters (basic)
| a, b, c (Å): | 3.694 | 3.694 | 30.000 |
| α, β, γ (°): | 90.000 | 90.000 | 120.000 |
Lattice Parameters (computed)
| a, b, c (Å): | 3.691 | 3.691 | 30.000 |
| α, β, γ (°): | 90.000 | 90.000 | 120.000 |
| Property |
Value |
| Band gap |
0.00 eV |
| E-fermi |
-1.697 eV |
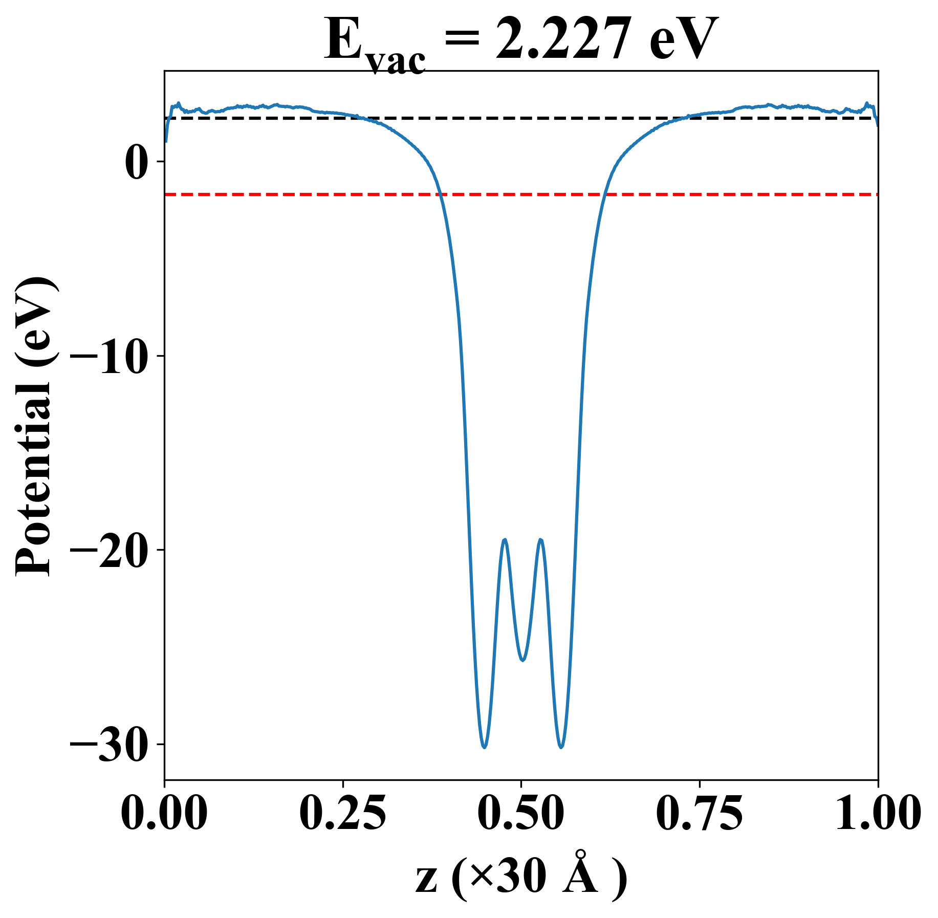
| Vacuum level |
2.227 eV |
| VBM |
-1.697 eV |
| CBM |
-1.697 eV |
| Work function |
3.924 eV |
| Direct gap |
No |
| Property |
Value |
| Band gap |
0.00 eV |
| E-fermi |
-1.697 eV |
| Vacuum level |
2.227 eV |
| VBM |
-1.697 eV |
| CBM |
-1.697 eV |
| Work function |
3.924 eV |
| Cij (N/m) |
xx |
yy |
xy |
| xx |
45.036 |
29.772 |
0.000 |
| yy |
29.772 |
45.036 |
-0.000 |
| xy |
0.000 |
-0.000 |
7.632 |
| Phonon mode at Γ point (THz) |
| -0.006 |
| -0.006 |
| -0.004 |
| 3.070 |
| 3.070 |
| 4.618 |
| 5.602 |
| 6.043 |
| 6.043 |
| Property |
Value |
| from where |
c2db-613 |