Ru1Te2
MatHub2d-1007-Ru1Te2
| Property |
Value |
| Space group |
(164, 'P-3m1') |
| Crystal system |
hexagonal |
| Magnetic |
Yes |
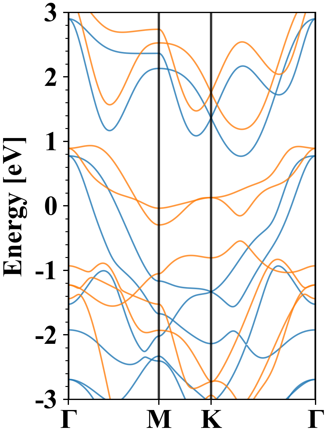
| Band gap (PBE) (eV) |
0.00 |
| Free energy (eV) |
-12.229 |
| Free energy / atom (eV) |
-4.076 |
Lattice Parameters (basic)
| a, b, c (Å): | 3.767 | 3.767 | 30.000 |
| α, β, γ (°): | 90.000 | 90.000 | 120.000 |
Lattice Parameters (computed)
| a, b, c (Å): | 3.719 | 3.719 | 30.000 |
| α, β, γ (°): | 90.000 | 90.000 | 120.000 |
| Property |
Value |
| Band gap |
0.00 eV |
| E-fermi |
-2.019 eV |
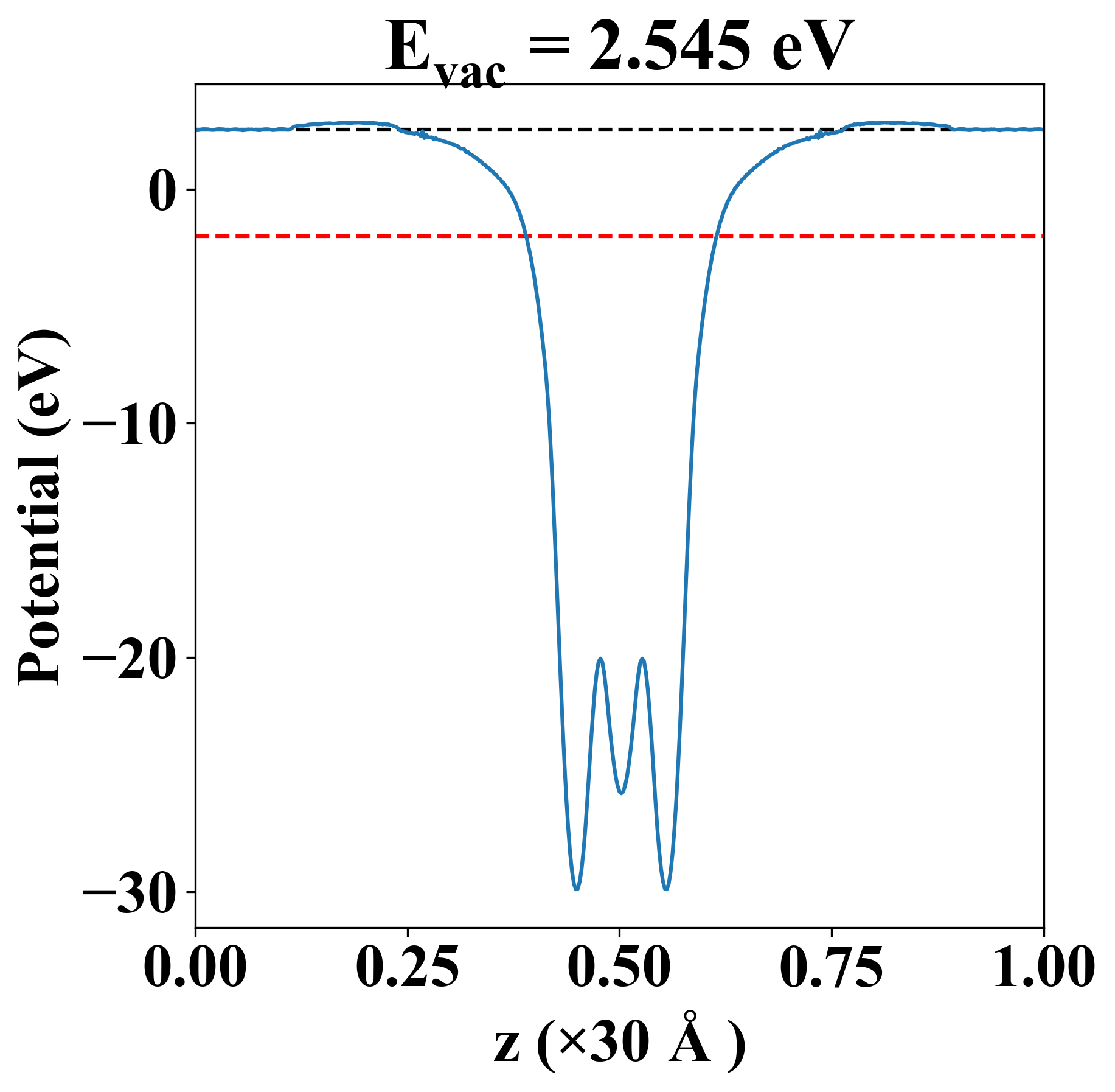
| Vacuum level |
2.545 eV |
| VBM |
-2.020 eV |
| CBM |
-2.019 eV |
| Work function |
4.564 eV |
| Direct gap |
No |
| Property |
Value |
| Band gap |
0.00 eV |
| E-fermi |
-2.019 eV |
| Vacuum level |
2.545 eV |
| VBM |
-2.020 eV |
| CBM |
-2.019 eV |
| Work function |
4.564 eV |
| Cij (N/m) |
xx |
yy |
xy |
| xx |
30.379 |
11.377 |
0.000 |
| yy |
11.377 |
30.379 |
-0.000 |
| xy |
0.000 |
-0.000 |
9.501 |
| Phonon mode at Γ point (THz) |
| -0.007 |
| -0.007 |
| -0.004 |
| 3.229 |
| 3.229 |
| 3.960 |
| 3.960 |
| 4.005 |
| 4.624 |
| Property |
Value |
| from where |
c2db-612 |