Ru1Se2
MatHub2d-1006-Ru1Se2
| Property |
Value |
| Space group |
(187, 'P-6m2') |
| Crystal system |
hexagonal |
| Magnetic |
Yes |
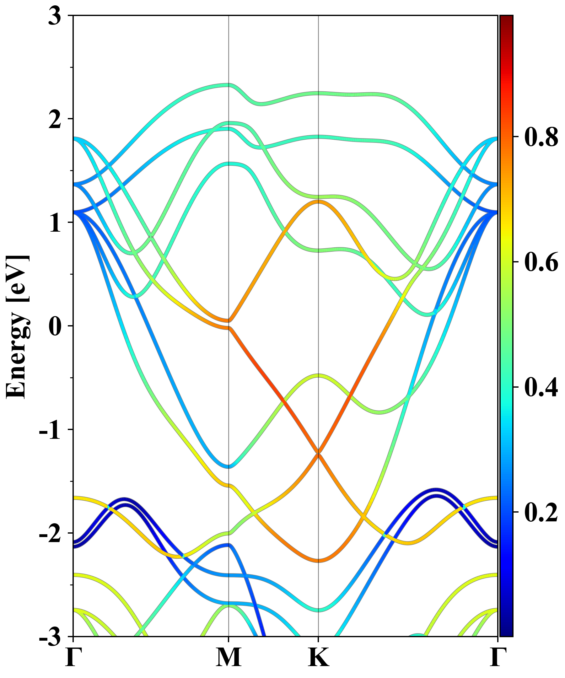
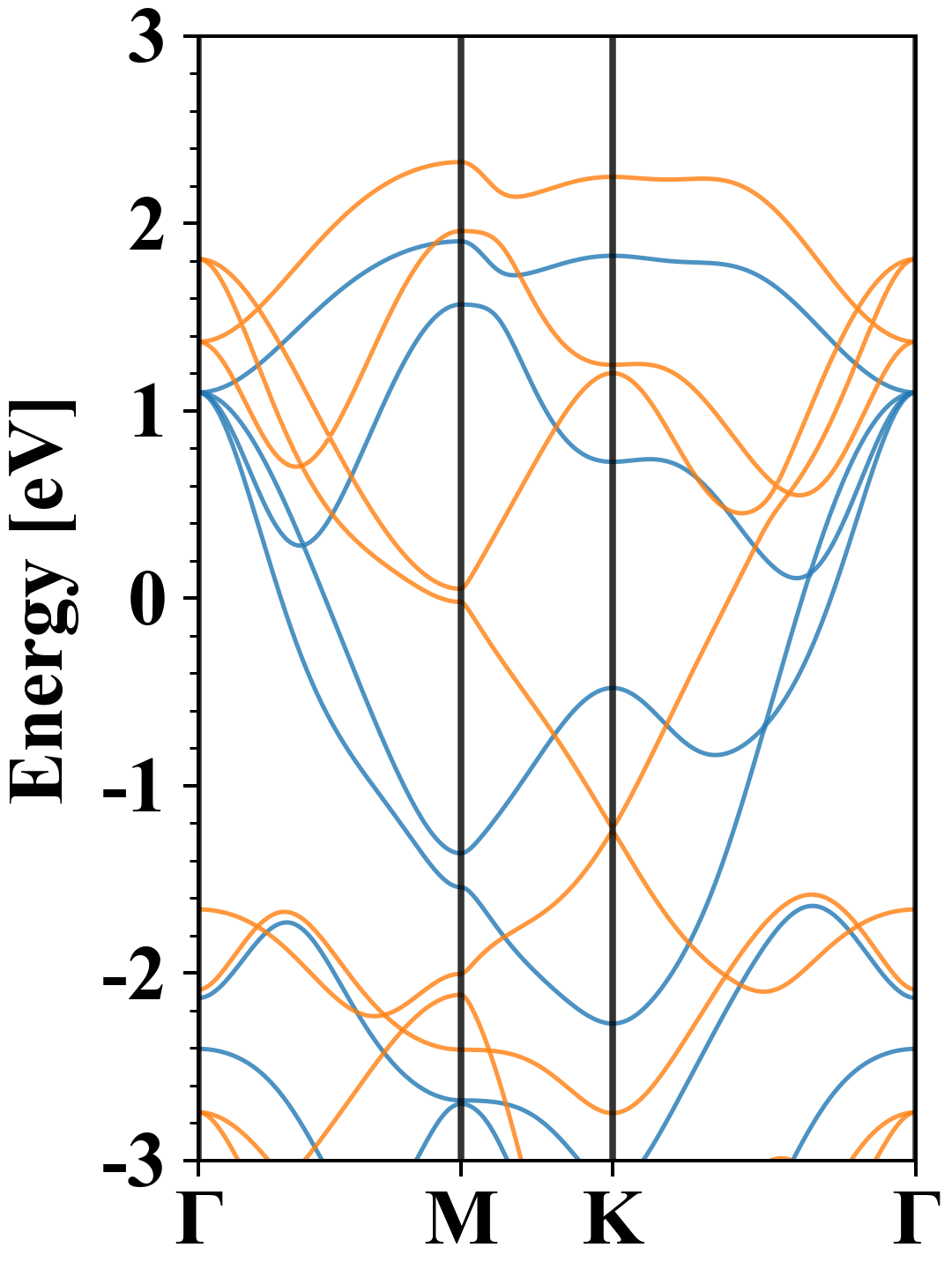
| Band gap (PBE) (eV) |
0.00 |
| Free energy (eV) |
-13.294 |
| Free energy / atom (eV) |
-4.431 |
Lattice Parameters (basic)
| a, b, c (Å): | 3.471 | 3.471 | 30.000 |
| α, β, γ (°): | 90.000 | 90.000 | 120.000 |
Lattice Parameters (computed)
| a, b, c (Å): | 3.438 | 3.438 | 30.000 |
| α, β, γ (°): | 90.000 | 90.000 | 120.000 |
| Property |
Value |
| Band gap |
0.00 eV |
| E-fermi |
-2.389 eV |
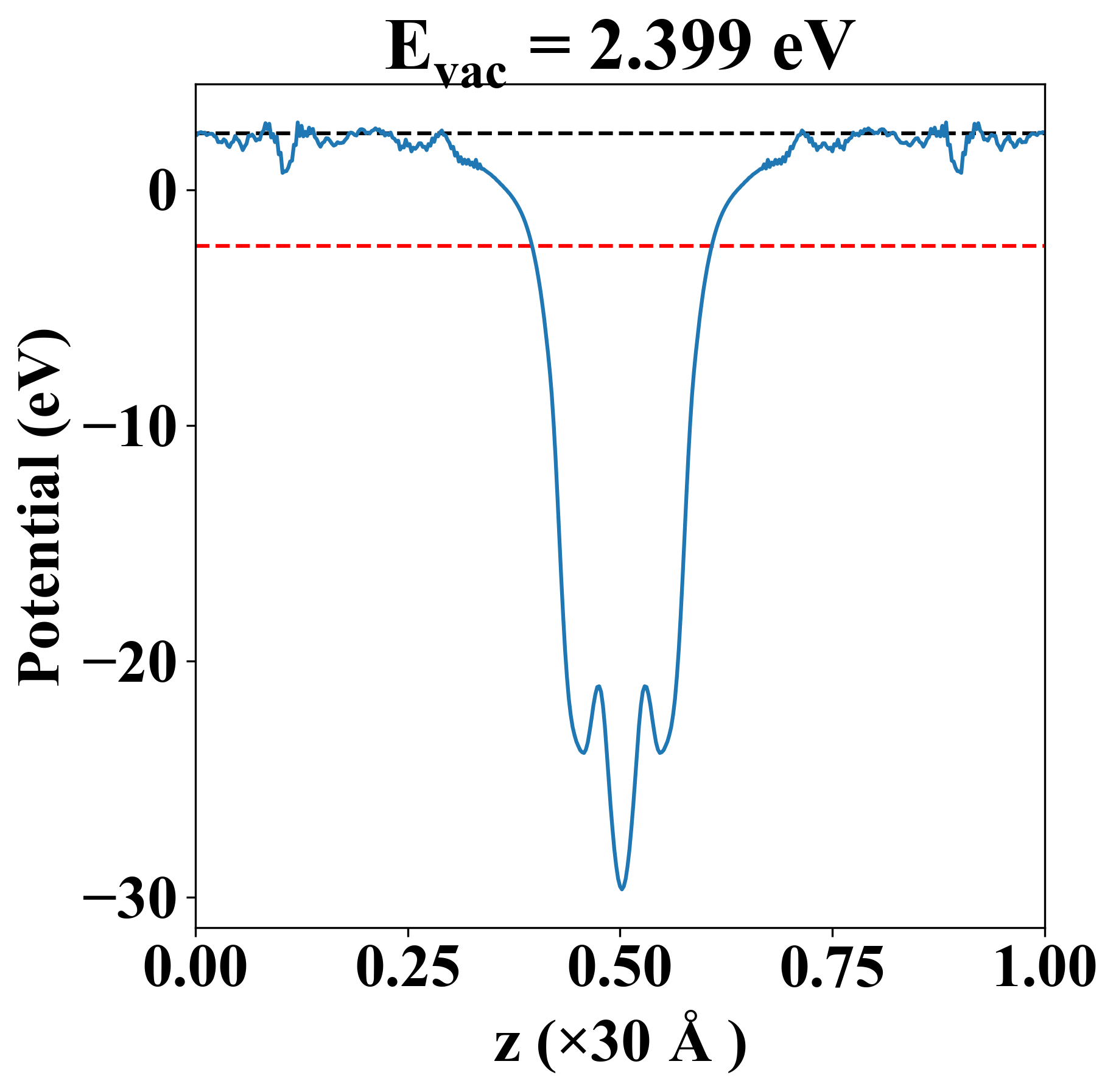
| Vacuum level |
2.399 eV |
| VBM |
-2.392 eV |
| CBM |
-2.387 eV |
| Work function |
4.787 eV |
| Direct gap |
No |
| Property |
Value |
| Band gap |
0.00 eV |
| E-fermi |
-2.389 eV |
| Vacuum level |
2.399 eV |
| VBM |
-2.392 eV |
| CBM |
-2.387 eV |
| Work function |
4.787 eV |
| Cij (N/m) |
xx |
yy |
xy |
| xx |
50.471 |
31.808 |
0.000 |
| yy |
31.808 |
50.471 |
-0.000 |
| xy |
0.000 |
-0.000 |
9.331 |
| Phonon mode at Γ point (THz) |
| -0.008 |
| -0.004 |
| -0.004 |
| 3.886 |
| 3.886 |
| 5.130 |
| 5.969 |
| 7.011 |
| 7.011 |
| Property |
Value |
| from where |
c2db-610 |