Ru1Se2
MatHub2d-1005-Ru1Se2
| Property |
Value |
| Space group |
(164, 'P-3m1') |
| Crystal system |
hexagonal |
| Magnetic |
Yes |
| Band gap (PBE) (eV) |
0.00 |
| Free energy (eV) |
-13.451 |
| Free energy / atom (eV) |
-4.484 |
Lattice Parameters (basic)
| a, b, c (Å): | 3.476 | 3.476 | 30.000 |
| α, β, γ (°): | 90.000 | 90.000 | 120.000 |
Lattice Parameters (computed)
| a, b, c (Å): | 3.524 | 3.524 | 30.000 |
| α, β, γ (°): | 90.000 | 90.000 | 120.000 |
| Property |
Value |
| Band gap |
0.00 eV |
| E-fermi |
-2.945 eV |
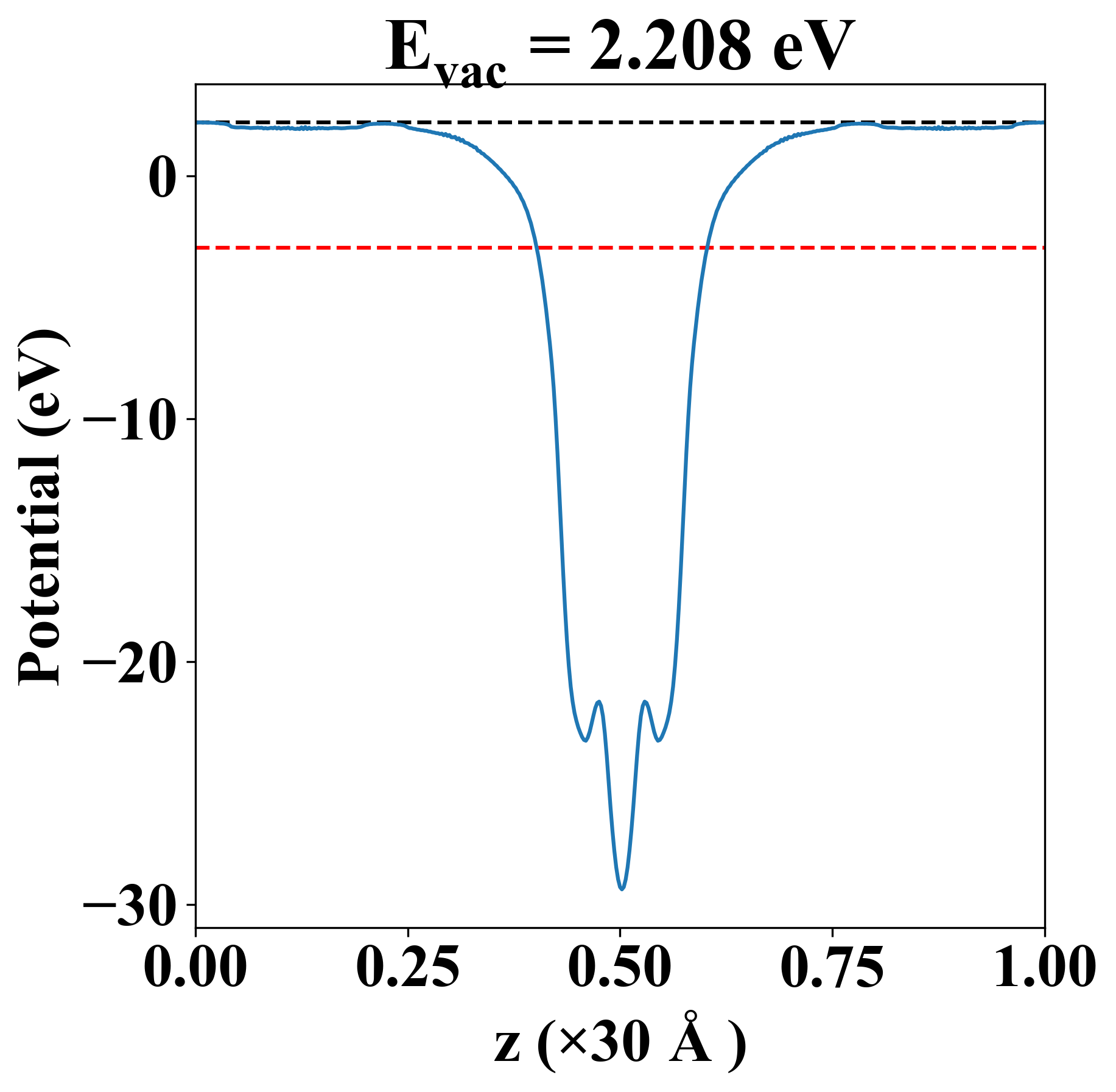
| Vacuum level |
2.208 eV |
| VBM |
-3.047 eV |
| CBM |
-2.849 eV |
| Work function |
5.153 eV |
| Direct gap |
No |
| Property |
Value |
| Band gap |
0.00 eV |
| E-fermi |
-3.184 eV |
| VBM |
-3.184 eV |
| CBM |
-3.183 eV |
| Free energy (eV) |
-13.665 |
| Free energy / atom (eV) |
-4.555 |
| Property |
Value |
| Band gap |
0.00 eV |
| E-fermi |
-2.945 eV |
| Vacuum level |
2.208 eV |
| VBM |
-3.047 eV |
| CBM |
-2.849 eV |
| Work function |
5.153 eV |
| Cij (N/m) |
xx |
yy |
xy |
| xx |
15.524 |
14.994 |
0.000 |
| yy |
14.994 |
15.524 |
0.000 |
| xy |
0.000 |
0.000 |
0.265 |
| Phonon mode at Γ point (THz) |
| -0.010 |
| -0.010 |
| -0.001 |
| 3.166 |
| 3.166 |
| 4.001 |
| 4.001 |
| 4.715 |
| 5.094 |
| Property |
Value |
| from where |
c2db-609 |