Ru1S2
MatHub2d-1004-Ru1S2
| Property |
Value |
| Space group |
(187, 'P-6m2') |
| Crystal system |
hexagonal |
| Magnetic |
Yes |
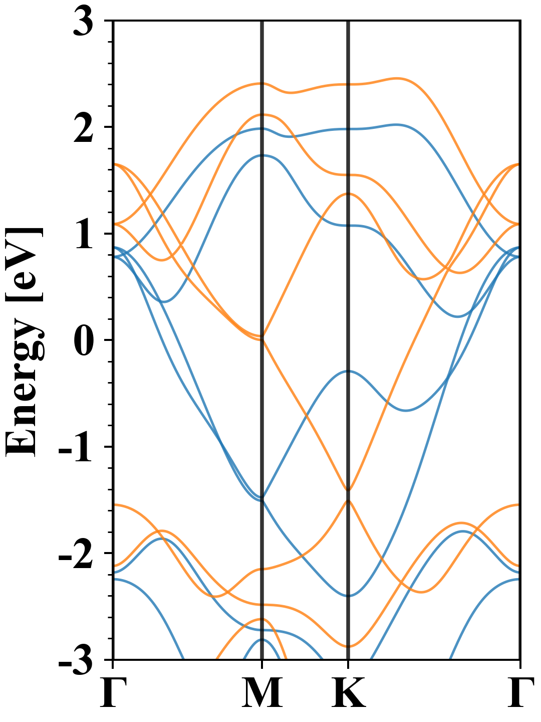
| Band gap (PBE) (eV) |
0.00 |
| Free energy (eV) |
-14.553 |
| Free energy / atom (eV) |
-4.851 |
Lattice Parameters (basic)
| a, b, c (Å): | 3.332 | 3.332 | 30.000 |
| α, β, γ (°): | 90.000 | 90.000 | 120.000 |
Lattice Parameters (computed)
| a, b, c (Å): | 3.302 | 3.302 | 30.000 |
| α, β, γ (°): | 90.000 | 90.000 | 120.000 |
| Property |
Value |
| Band gap |
0.00 eV |
| E-fermi |
-2.688 eV |
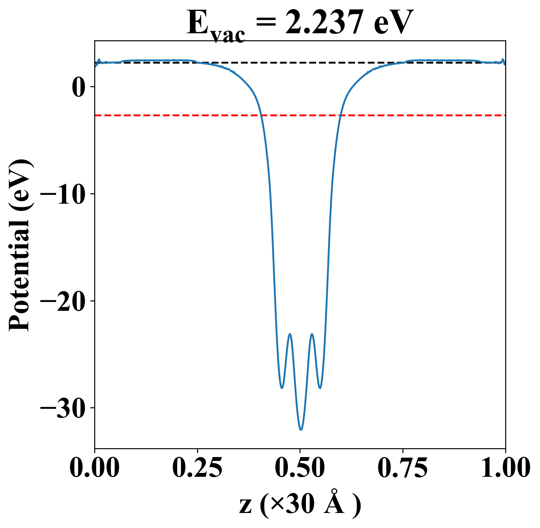
| Vacuum level |
2.237 eV |
| VBM |
-2.690 eV |
| CBM |
-2.687 eV |
| Work function |
4.926 eV |
| Direct gap |
No |
| Property |
Value |
| Band gap |
0.00 eV |
| E-fermi |
-2.688 eV |
| Vacuum level |
2.237 eV |
| VBM |
-2.690 eV |
| CBM |
-2.687 eV |
| Work function |
4.926 eV |
| Cij (N/m) |
xx |
yy |
xy |
| xx |
68.877 |
45.159 |
0.000 |
| yy |
45.159 |
68.877 |
-0.000 |
| xy |
0.000 |
-0.000 |
11.859 |
| Phonon mode at Γ point (THz) |
| -0.008 |
| -0.002 |
| -0.002 |
| 6.038 |
| 6.038 |
| 6.862 |
| 9.390 |
| 9.390 |
| 10.067 |
| Property |
Value |
| from where |
c2db-608 |