Ru1S2
MatHub2d-1003-Ru1S2
| Property |
Value |
| Space group |
(164, 'P-3m1') |
| Crystal system |
hexagonal |
| Magnetic |
Yes |
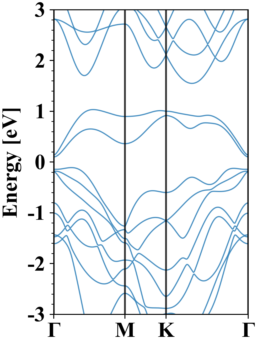
| Band gap (PBE) (eV) |
0.00 |
| Free energy (eV) |
-14.861 |
| Free energy / atom (eV) |
-4.954 |
Lattice Parameters (basic)
| a, b, c (Å): | 3.354 | 3.354 | 30.000 |
| α, β, γ (°): | 90.000 | 90.000 | 120.000 |
Lattice Parameters (computed)
| a, b, c (Å): | 3.361 | 3.361 | 30.000 |
| α, β, γ (°): | 90.000 | 90.000 | 120.000 |
| Property |
Value |
| Band gap |
0.00 eV |
| E-fermi |
-3.658 eV |
| Vacuum level |
2.195 eV |
| VBM |
-3.779 eV |
| CBM |
-3.540 eV |
| Work function |
5.853 eV |
| Direct gap |
No |
| Property |
Value |
| Band gap |
0.21 eV |
| E-fermi |
-3.632 eV |
| VBM |
-3.742 eV |
| CBM |
-3.532 eV |
| Free energy (eV) |
-14.966 |
| Free energy / atom (eV) |
-4.989 |
| Property |
Value |
| Band gap |
0.00 eV |
| E-fermi |
-3.658 eV |
| Vacuum level |
2.195 eV |
| VBM |
-3.779 eV |
| CBM |
-3.540 eV |
| Work function |
5.853 eV |
| Cij (N/m) |
xx |
yy |
xy |
| xx |
7.572 |
26.217 |
0.000 |
| yy |
26.217 |
7.572 |
-0.000 |
| xy |
0.000 |
-0.000 |
-9.322 |
| Phonon mode at Γ point (THz) |
| 0.001 |
| 0.001 |
| 0.001 |
| 5.404 |
| 5.404 |
| 6.353 |
| 6.353 |
| 6.630 |
| 8.388 |
| Property |
Value |
| from where |
c2db-607 |