Rh2Te2
MatHub2d-1002-Rh2Te2
| Property |
Value |
| Space group |
(187, 'P-6m2') |
| Crystal system |
hexagonal |
| Magnetic |
|
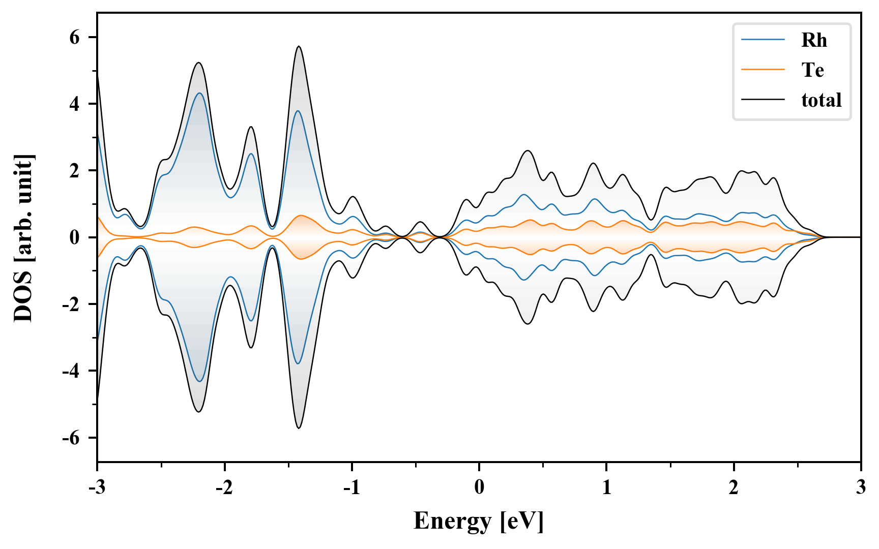
| Band gap (PBE) (eV) |
0.00 |
| Free energy (eV) |
-14.593 |
| Free energy / atom (eV) |
-3.648 |
Lattice Parameters (basic)
| a, b, c (Å): | 3.642 | 3.642 | 30.000 |
| α, β, γ (°): | 90.000 | 90.000 | 120.000 |
Lattice Parameters (computed)
| a, b, c (Å): | 3.616 | 3.616 | 30.000 |
| α, β, γ (°): | 90.000 | 90.000 | 120.000 |
| Property |
Value |
| Band gap |
0.00 eV |
| E-fermi |
-0.570 eV |
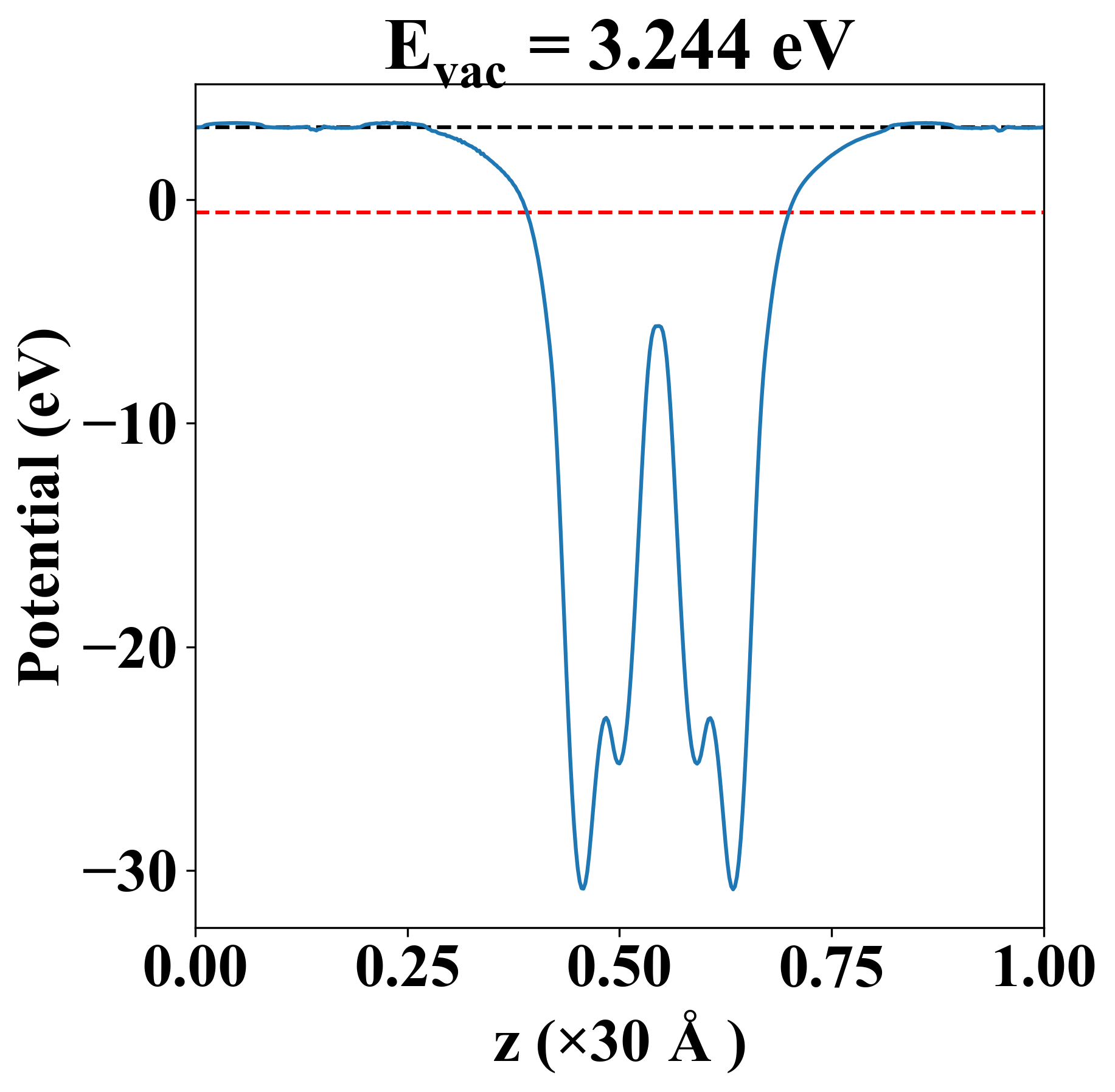
| Vacuum level |
3.244 eV |
| VBM |
-0.574 eV |
| CBM |
-0.568 eV |
| Work function |
3.815 eV |
| Direct gap |
No |
| Property |
Value |
| Band gap |
0.00 eV |
| E-fermi |
-0.570 eV |
| Vacuum level |
3.244 eV |
| VBM |
-0.574 eV |
| CBM |
-0.568 eV |
| Work function |
3.815 eV |
| Cij (N/m) |
xx |
yy |
xy |
| xx |
33.422 |
8.183 |
0.000 |
| yy |
8.183 |
33.422 |
0.000 |
| xy |
0.000 |
0.000 |
12.619 |
| Phonon mode at Γ point (THz) |
| -0.960 |
| -0.960 |
| -0.001 |
| -0.001 |
| -0.001 |
| 3.220 |
| 5.865 |
| 5.865 |
| 5.913 |
| 5.913 |
| 6.207 |
| 7.865 |
| Property |
Value |
| from where |
c2db-1685 |