Rh2Se2
MatHub2d-1001-Rh2Se2
| Property |
Value |
| Space group |
(187, 'P-6m2') |
| Crystal system |
hexagonal |
| Magnetic |
No |
| Band gap (PBE) (eV) |
0.27 |
| Free energy (eV) |
-15.833 |
| Free energy / atom (eV) |
-3.958 |
Lattice Parameters (basic)
| a, b, c (Å): | 3.342 | 3.342 | 30.000 |
| α, β, γ (°): | 90.000 | 90.000 | 120.000 |
Lattice Parameters (computed)
| a, b, c (Å): | 3.304 | 3.304 | 30.000 |
| α, β, γ (°): | 90.000 | 90.000 | 120.000 |
| Property |
Value |
| Band gap |
0.27 eV |
| E-fermi |
-1.265 eV |
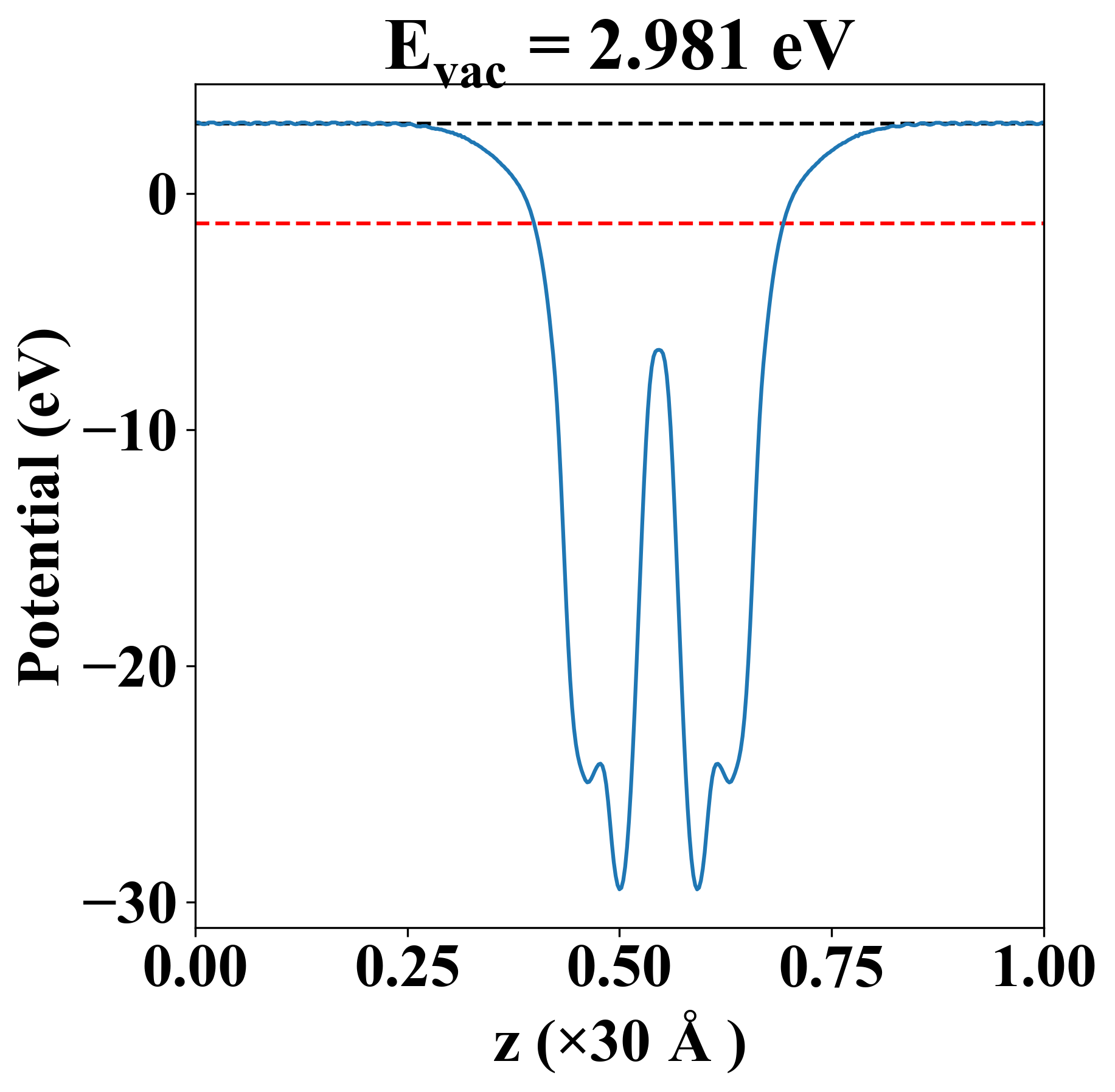
| Vacuum level |
2.981 eV |
| VBM |
-1.400 eV |
| CBM |
-1.127 eV |
| Work function |
4.246 eV |
| Direct gap |
No |
| Property |
Value |
| Band gap |
0.18 eV |
| E-fermi |
-1.302 eV |
| VBM |
-1.392 eV |
| CBM |
-1.210 eV |
| Free energy (eV) |
-16.184 |
| Free energy / atom (eV) |
-4.046 |
| Property |
Value |
| Band gap |
0.27 eV |
| E-fermi |
-1.265 eV |
| Vacuum level |
2.981 eV |
| VBM |
-1.400 eV |
| CBM |
-1.127 eV |
| Work function |
4.246 eV |
| Cij (N/m) |
xx |
yy |
xy |
| xx |
78.910 |
28.330 |
-0.000 |
| yy |
28.330 |
78.910 |
0.000 |
| xy |
-0.000 |
0.000 |
25.290 |
| Phonon mode at Γ point (THz) |
| -1.081 |
| -1.081 |
| -0.002 |
| 0.000 |
| 0.000 |
| 3.873 |
| 7.232 |
| 7.232 |
| 7.235 |
| 7.235 |
| 8.572 |
| 9.181 |
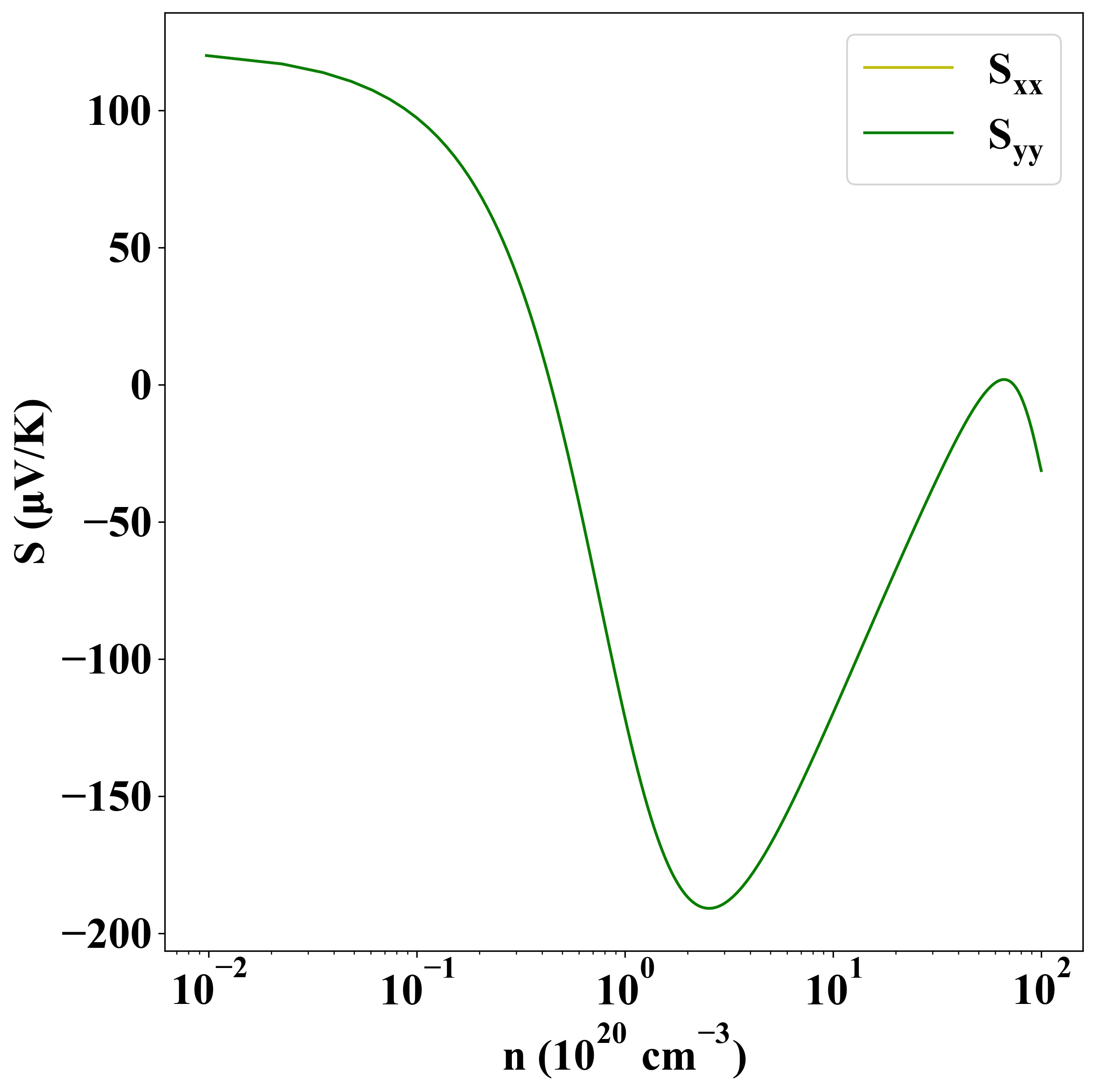
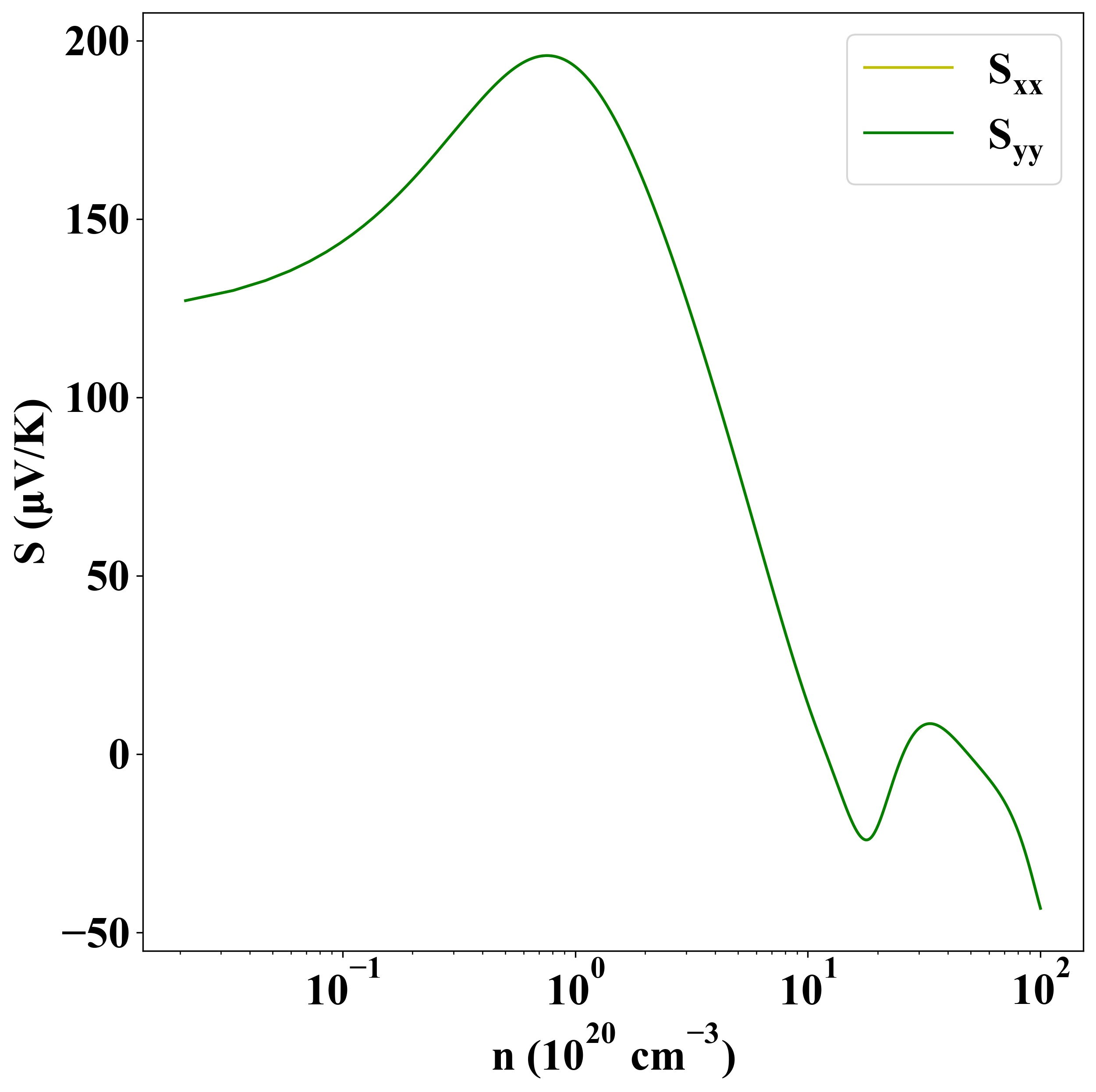
| Carrier type |
C2D (N/m) |
Edef (eV) |
μ (cm2V-1s-1) |
| x |
y |
x |
y |
x |
y |
| hole |
87.28 |
87.30 |
2.46 |
1.32 |
-164.62 |
-573.13 |
| electron |
-2.47 |
-2.30 |
118.00 |
136.44 |
| Property |
Value |
| from where |
c2db-1684 |