Rh2S2
MatHub2d-1000-Rh2S2
| Property |
Value |
| Space group |
(187, 'P-6m2') |
| Crystal system |
hexagonal |
| Magnetic |
No |
| Band gap (PBE) (eV) |
0.16 |
| Free energy (eV) |
-17.536 |
| Free energy / atom (eV) |
-4.384 |
Lattice Parameters (basic)
| a, b, c (Å): | 3.222 | 3.222 | 30.000 |
| α, β, γ (°): | 90.000 | 90.000 | 120.000 |
Lattice Parameters (computed)
| a, b, c (Å): | 3.180 | 3.180 | 30.000 |
| α, β, γ (°): | 90.000 | 90.000 | 120.000 |
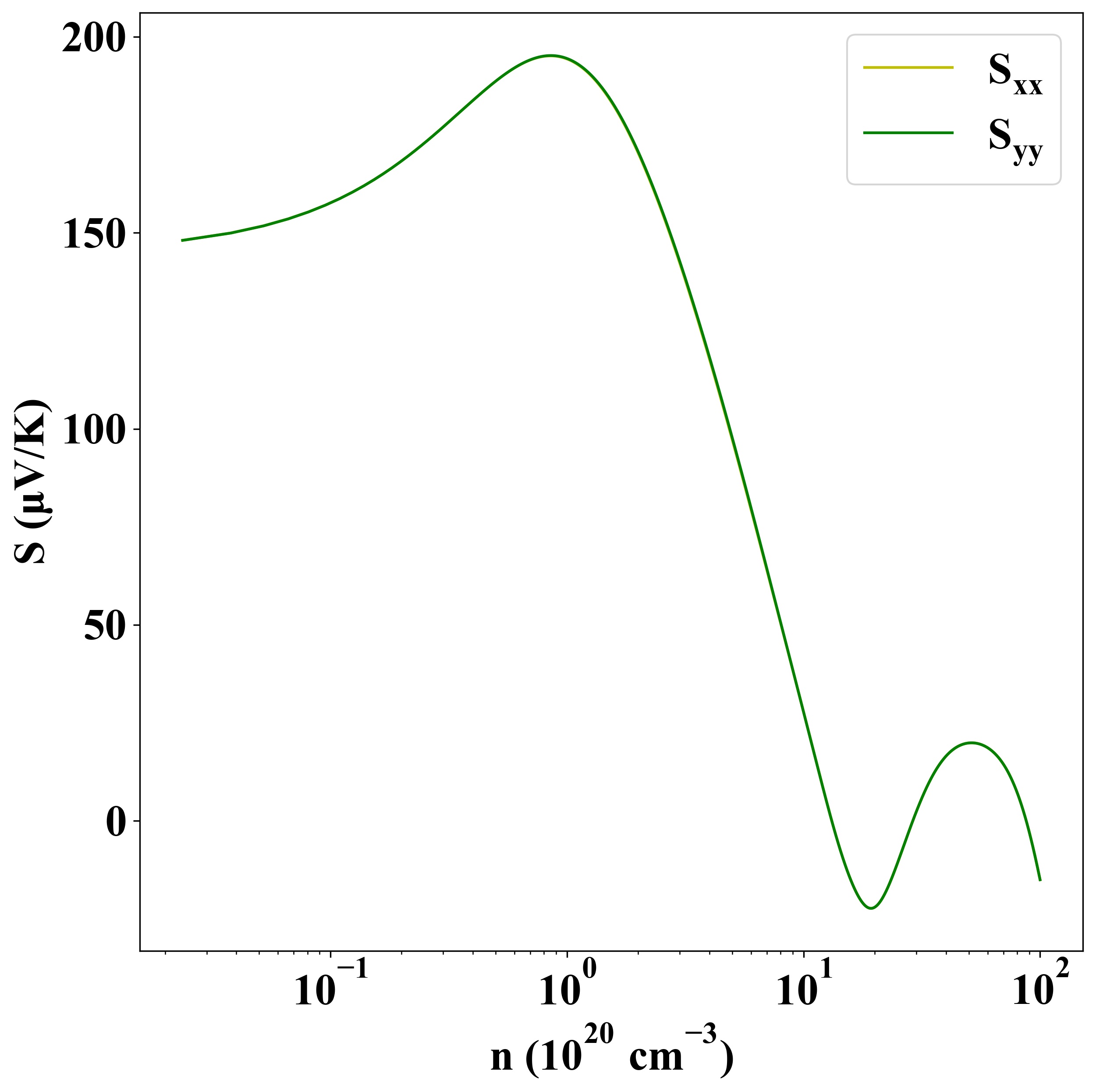
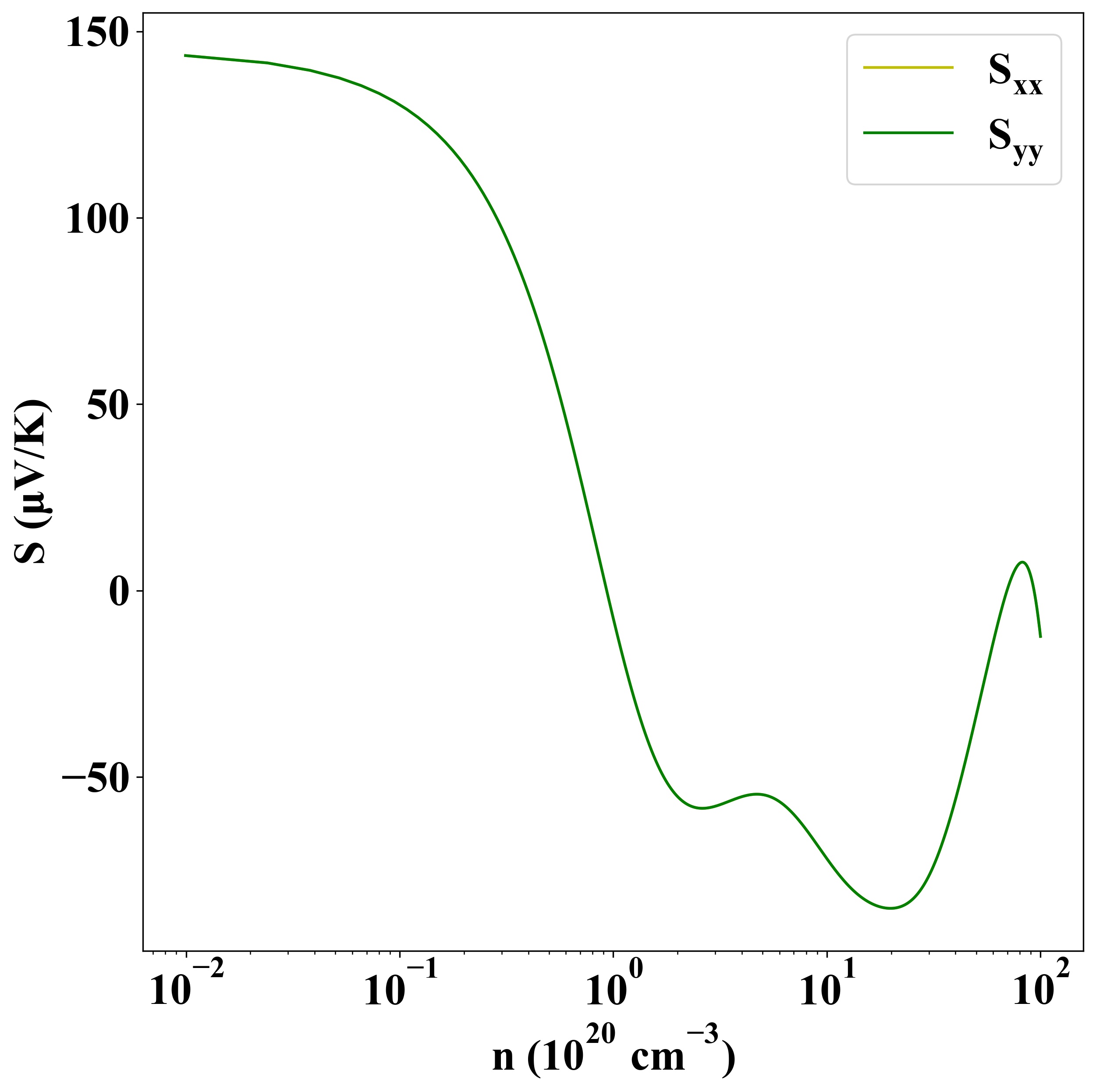
| Property |
Value |
| Band gap |
0.16 eV |
| E-fermi |
-1.627 eV |
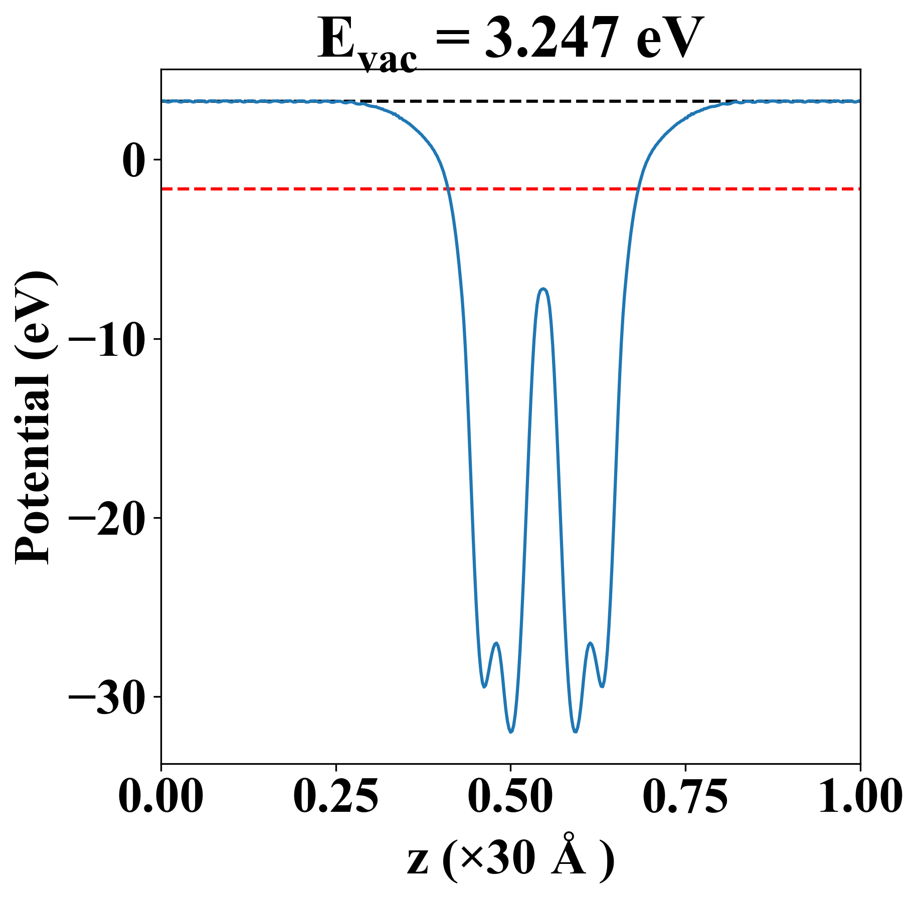
| Vacuum level |
3.247 eV |
| VBM |
-1.705 eV |
| CBM |
-1.547 eV |
| Work function |
4.874 eV |
| Direct gap |
No |
| Property |
Value |
| Band gap |
0.16 eV |
| E-fermi |
-1.641 eV |
| VBM |
-1.719 eV |
| CBM |
-1.562 eV |
| Free energy (eV) |
-17.847 |
| Free energy / atom (eV) |
-4.462 |
| Property |
Value |
| Band gap |
0.16 eV |
| E-fermi |
-1.627 eV |
| Vacuum level |
3.247 eV |
| VBM |
-1.705 eV |
| CBM |
-1.547 eV |
| Work function |
4.874 eV |
| Cij (N/m) |
xx |
yy |
xy |
| xx |
106.697 |
32.426 |
0.000 |
| yy |
32.426 |
106.697 |
-0.000 |
| xy |
0.000 |
-0.000 |
37.135 |
| Phonon mode at Γ point (THz) |
| -1.175 |
| -1.175 |
| -0.002 |
| -0.002 |
| -0.001 |
| 4.756 |
| 10.631 |
| 10.631 |
| 10.633 |
| 10.633 |
| 12.246 |
| 12.361 |
| Property |
Value |
| from where |
c2db-1683 |