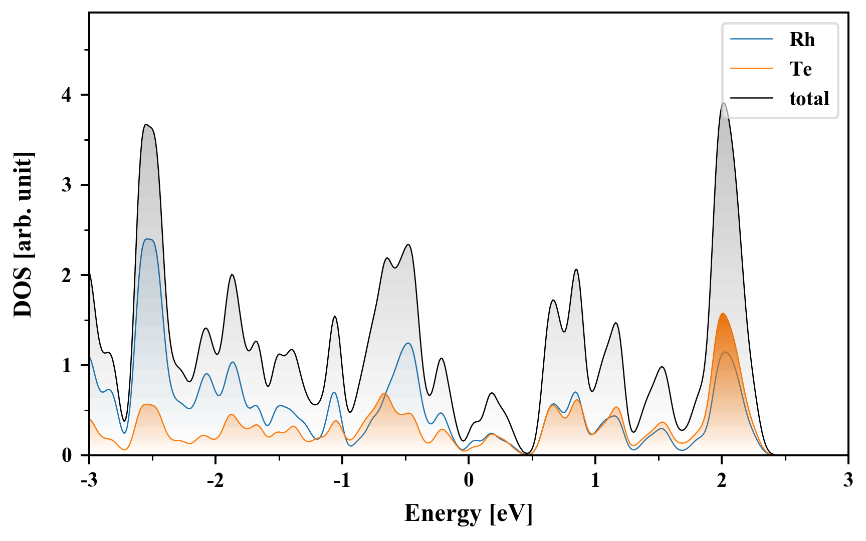
Rh1Te2
MatHub2d-999-Rh1Te2
| Property |
Value |
| Space group |
(187, 'P-6m2') |
| Crystal system |
hexagonal |
| Magnetic |
No |
| Band gap (PBE) (eV) |
0.01 |
| Free energy (eV) |
-11.080 |
| Free energy / atom (eV) |
-3.693 |
Lattice Parameters (basic)
| a, b, c (Å): | 3.788 | 3.788 | 30.000 |
| α, β, γ (°): | 90.000 | 90.000 | 120.000 |
Lattice Parameters (computed)
| a, b, c (Å): | 3.736 | 3.736 | 30.000 |
| α, β, γ (°): | 90.000 | 90.000 | 120.000 |
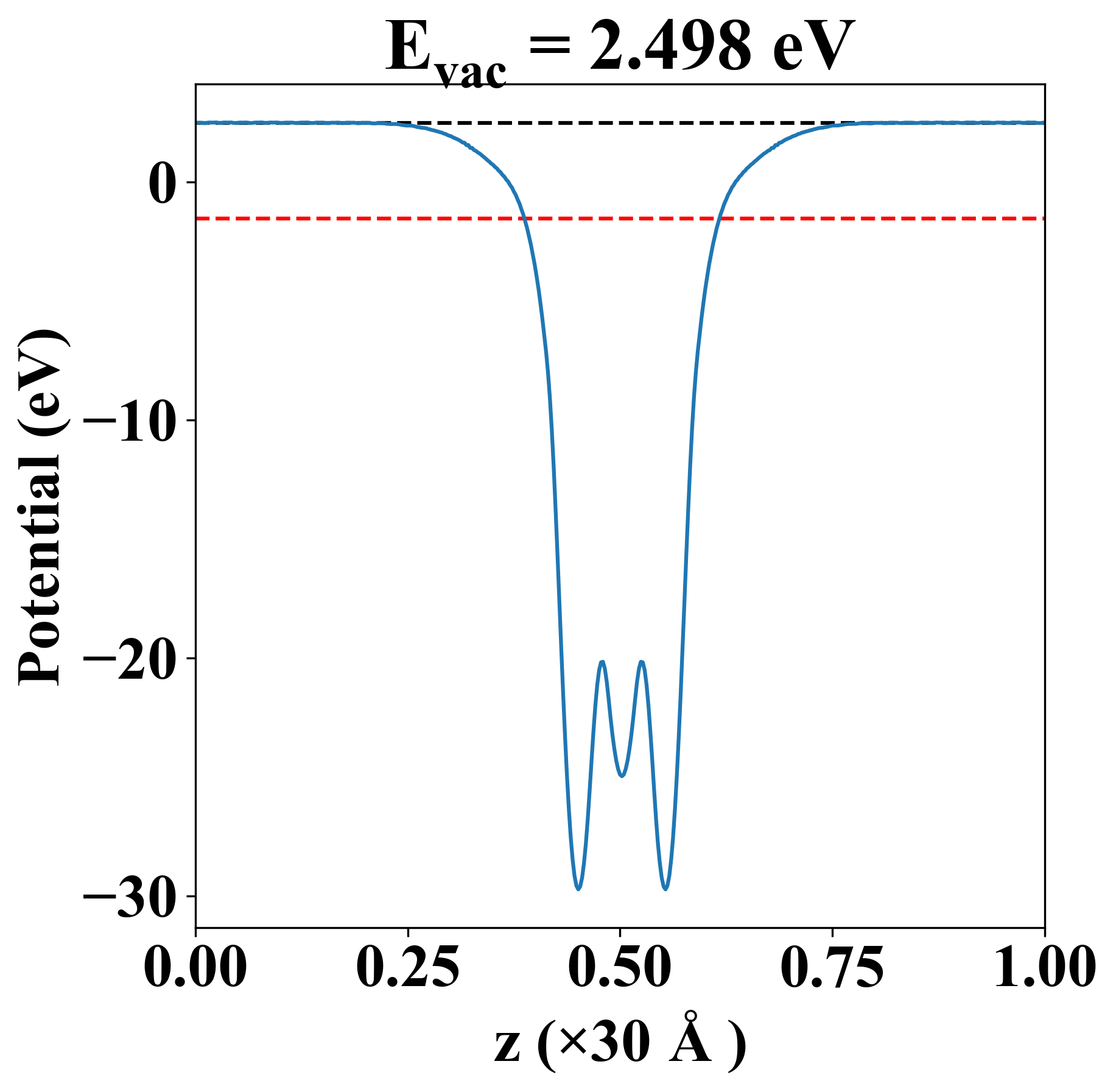
| Property |
Value |
| Band gap |
0.01 eV |
| E-fermi |
-1.515 eV |
| Vacuum level |
2.498 eV |
| VBM |
-1.521 eV |
| CBM |
-1.515 eV |
| Work function |
4.013 eV |
| Direct gap |
No |
| Property |
Value |
| Band gap |
0.01 eV |
| E-fermi |
-1.515 eV |
| Vacuum level |
2.498 eV |
| VBM |
-1.521 eV |
| CBM |
-1.515 eV |
| Work function |
4.013 eV |
| Cij (N/m) |
xx |
yy |
xy |
| xx |
42.183 |
18.738 |
0.000 |
| yy |
18.738 |
42.183 |
0.000 |
| xy |
0.000 |
0.000 |
11.722 |
| Phonon mode at Γ point (THz) |
| -0.006 |
| -0.005 |
| -0.005 |
| 3.024 |
| 3.024 |
| 3.454 |
| 4.621 |
| 5.983 |
| 5.983 |
| Property |
Value |
| from where |
c2db-603 |