Rh1Se2
MatHub2d-997-Rh1Se2
| Property |
Value |
| Space group |
(164, 'P-3m1') |
| Crystal system |
hexagonal |
| Magnetic |
No |
| Band gap (PBE) (eV) |
0.00 |
| Free energy (eV) |
-12.167 |
| Free energy / atom (eV) |
-4.056 |
Lattice Parameters (basic)
| a, b, c (Å): | 3.596 | 3.596 | 30.000 |
| α, β, γ (°): | 90.000 | 90.000 | 120.000 |
Lattice Parameters (computed)
| a, b, c (Å): | 3.520 | 3.520 | 30.000 |
| α, β, γ (°): | 90.000 | 90.000 | 120.000 |
| Property |
Value |
| Band gap |
0.00 eV |
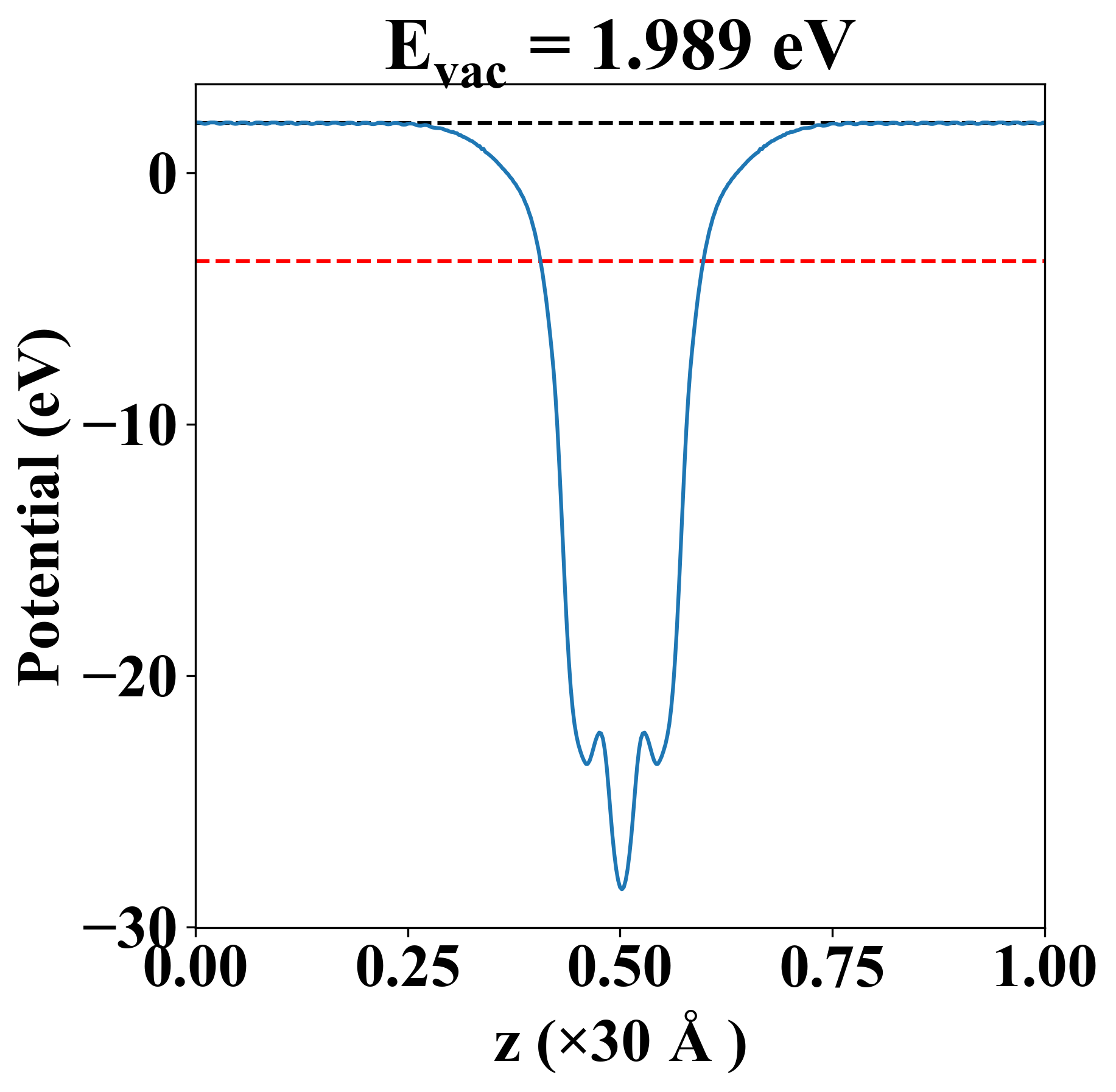
| E-fermi |
-3.499 eV |
| Vacuum level |
1.989 eV |
| VBM |
-3.506 eV |
| CBM |
-3.499 eV |
| Work function |
5.488 eV |
| Direct gap |
No |
| Property |
Value |
| Band gap |
0.00 eV |
| E-fermi |
-3.499 eV |
| Vacuum level |
1.989 eV |
| VBM |
-3.506 eV |
| CBM |
-3.499 eV |
| Work function |
5.488 eV |
| Cij (N/m) |
xx |
yy |
xy |
| xx |
37.952 |
16.128 |
0.000 |
| yy |
16.128 |
37.952 |
-0.000 |
| xy |
0.000 |
-0.000 |
10.912 |
| Phonon mode at Γ point (THz) |
| -0.008 |
| -0.008 |
| -0.003 |
| 3.751 |
| 4.360 |
| 4.360 |
| 4.416 |
| 4.416 |
| 5.589 |
| Property |
Value |
| from where |
c2db-600 |