Rh1S2
MatHub2d-996-Rh1S2
| Property |
Value |
| Space group |
(187, 'P-6m2') |
| Crystal system |
hexagonal |
| Magnetic |
|
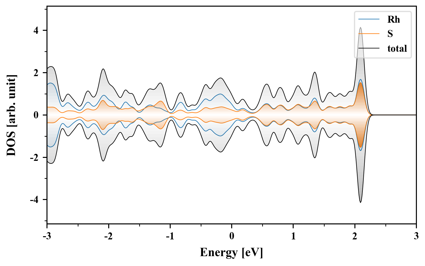
| Band gap (PBE) (eV) |
0.00 |
| Free energy (eV) |
-12.534 |
| Free energy / atom (eV) |
-4.178 |
Lattice Parameters (basic)
| a, b, c (Å): | 3.414 | 3.414 | 30.000 |
| α, β, γ (°): | 90.000 | 90.000 | 120.000 |
Lattice Parameters (computed)
| a, b, c (Å): | 3.355 | 3.355 | 30.000 |
| α, β, γ (°): | 90.000 | 90.000 | 120.000 |
| Property |
Value |
| Band gap |
0.00 eV |
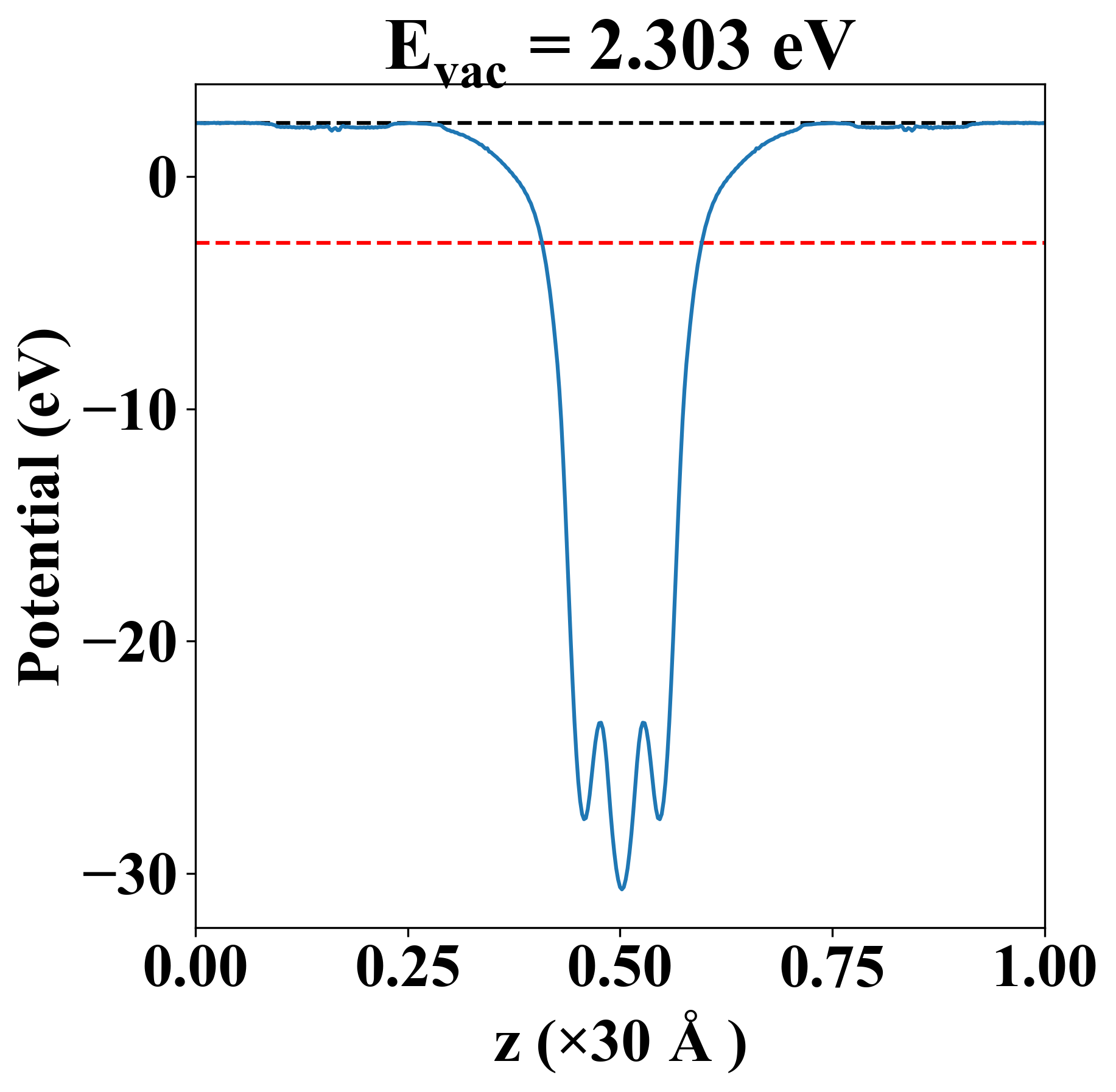
| E-fermi |
-2.860 eV |
| Vacuum level |
2.303 eV |
| VBM |
-2.860 eV |
| CBM |
-2.860 eV |
| Work function |
5.163 eV |
| Direct gap |
Yes |
| Property |
Value |
| Band gap |
0.00 eV |
| E-fermi |
-2.860 eV |
| Vacuum level |
2.303 eV |
| VBM |
-2.860 eV |
| CBM |
-2.860 eV |
| Work function |
5.163 eV |
| Cij (N/m) |
xx |
yy |
xy |
| xx |
43.989 |
17.961 |
0.000 |
| yy |
17.961 |
43.989 |
-0.000 |
| xy |
0.000 |
-0.000 |
13.014 |
| Phonon mode at Γ point (THz) |
| -5.362 |
| 0.001 |
| 0.001 |
| 0.027 |
| 5.222 |
| 5.222 |
| 8.439 |
| 8.439 |
| 9.217 |
| Property |
Value |
| from where |
c2db-599 |